Project Gutenberg's Scientific American Supplement No. 275, by Various This eBook is for the use of anyone anywhere at no cost and with almost no restrictions whatsoever. You may copy it, give it away or re-use it under the terms of the Project Gutenberg License included with this eBook or online at www.gutenberg.org Title: Scientific American Supplement No. 275 Author: Various Posting Date: October 10, 2012 [EBook #8195] Release Date: May, 2005 First Posted: June 30, 2003 Language: English Character set encoding: ISO-8859-1 *** START OF THIS PROJECT GUTENBERG EBOOK SCIENTIFIC AMERICAN SUPPL., NO. 275 *** Produced by Olaf Voss, Don Kretz, Juliet Sutherland, Charles Franks and the Online Distributed Proofreading Team.
In consequence of the interest that has been recently excited on the subject of bread reform, we have, says the London Miller, translated the interesting contribution of H. Mège-Mouriès to the Imperial and Central Society of Agriculture of France, and subsequently published in a separate form in 1860, on "Wheat and Wheat Bread," with the illustration prepared by the author for the contribution. The author says: "I repeat in this pamphlet the principal facts put forth in the notes issued by me, and in the reports furnished by Mr. Chevreul to the Academy of Science, from 1853 up to 1860."
The study of the structure of the wheat berry, its chemical composition, its alimentary value, its preservation, etc., is not alone of interest to science, agriculture, and industry, but it is worthy of attracting the attention of governments, for this study, in its connection to political economy, is bound up with the fate and the prosperity of nations. Wheat has been cultivated from time immemorial. At first it was roughly crushed and consumed in the form of a thick soup, or in cakes baked on an ordinary hearth. Many centuries before the Christian era the Egyptians were acquainted with the means of making fermented or leavened bread; afterwards this practice spread into Greece, and it is found in esteem at Rome two centuries B.C.; from Rome the new method was introduced among the Gauls, and it is found to-day to exist almost the same as it was practiced at that period, with the exception, of course, of the considerable improvements introduced in the baking and grinding.
Since the fortunate idea was formed of transforming the wheat into bread, this grain has always produced white bread, and dark or brown bread, from which the conclusion was drawn that it must necessarily make white bread and brown bread; on the other hand, the flours, mixed with bran, made a brownish, doughy, and badly risen bread, and it was therefore concluded that the bran, by its color, produced this inferior bread. From this error, accepted as a truth, the most contradictory opinions of the most opposite processes have arisen, which are repeated at the present day in the art of separating as completely as possible all the tissues of the wheat, and of extracting from the grain only 70 per cent of flour fit for making white bread. It is, however, difficult for the observer to admit that a small quantity of the thin yellow envelope can, by a simple mingling with the crumb of the loaf, color it brown, and it is still more difficult to admit that the actual presence of these envelopes can without decomposition render bread doughy, badly raised, sticky, and incapable of swelling in water. On the other hand, although some distinguished chemists deny or exalt the nutritive properties of bran, agriculturists, taking practical observation as proof, attribute to that portion of the grain a physiological action which has nothing in common with plastic alimentation, and prove that animals weakened by a too long usage of dry fodder, are restored to health by the use of bran, which only seems to act by its presence, since the greater portion of it, as already demonstrated by Mr. Poggiale, is passed through with the excrement.
With these opinions, apparently so opposed, it evidently results that there is an unknown factor at the bottom of the question; it is the nature of this factor I wish to find out, and it was after the discovery that I was able to explain the nature of brown bread, and its role in the alimentation of animals. We have then to examine the causes of the production of brown bread, to state why white bread kills animals fed exclusively on it, while bread mixed with bran makes them live. We have to explain the phenomena of panification, the operations of grinding, and to explain the means of preparing a bread more economical and more favorable to health. To explain this question clearly and briefly we must first be acquainted with the various substances forming the berry, their nature, their position, and their properties. This we shall do with the aid of the illustration given.
SECTION OF A GRAIN OF WHEAT MAGNIFIED.
EXPLANATION OF DIAGRAM.
1.--Superficial Coating of the Epidermis, severed at the Crease of the Kernel. 2.--Section of Epidermis, Averages of the Weight of the Whole Grain, ½ %. 3.--Epicarp, do. do. do. 1 %. 4.--Endocarp, do. do. do. 1 ½ %. 5.--Testa or Episperm, do. do. do. 2 %. 6.--Embryo Membrane (with imaginary spaces in white on both sides to make it distinct). 7.\ / Glutonous Cells \ 8. > Endosperm < containing > do. do. 90 %. 9./ \ Farinaccous Matter /
The figure represents the longitudinal cut of a grain of wheat; it was made by taking, with the aid of the microscope and of photography, the drawing of a large quantity of fragments, which, joined together at last, produced the figure of the entire cut. These multiplied results were necessary to appreciate the insertion of the teguments and their nature in every part of the berry; in this long and difficult work I have been aided by the co-operation of Mr. Bertsch, who, as is known, has discovered a means of fixing rapidly by photography any image from the microscope. I must state, in the first place, that even in 1837 Mr. Payen studied and published the structure and the composition of a fragment of a grain of wheat; that this learned chemist, whose authority in such matters is known, perfectly described the envelopes or coverings, and indicated the presence of various immediate principles (especially of azote, fatty and mineral substances which fill up the range of contiguous cells between them and the periphery of the perisperm, to the exclusion of the gluten and the starchy granules), as well as to the mode of insertion of the granules of starch in the gluten contained in the cells, with narrow divisions from the perisperm, and in such a manner that up to the point of working indicated by the figure 1 this study was complete. However, I have been obliged to recommence it, to study the special facts bearing on the alimentary question, and I must say that all the results obtained by Mr. Bertsch, Mr. Trécul, and myself agree with those given by Mr. Payen.
No. 1 represents a superficial side of the crease.
No. 2 indicates the epidermis or cuticle. This covering is extremely light, and offers nothing remarkable; 100 lb. of wheat contain ½ lb. of it.
No. 3 indicates the epicarp. This envelope is distinguished by a double row of long and pointed vessels; it is, like the first one, very light and without action; 100 lb. of wheat contain 1 lb. of it.
No. 4 represents the endocarp, or last tegument of the berry; the sarcocarp, which should be found between the numbers 2 and 3, no longer exists, having been absorbed. The endocarp is remarkable by its row of round and regular cells, which appear in the cut like a continuous string of beads; 100 lb. of wheat contain 1½ lb. of it.
These three envelopes are colorless, light, and spongy; their elementary composition is that of straw; they are easily removed besides with the aid of damp and friction. This property has given rise to an operation called decortication, the results of which we shall examine later on from an industrial point of view. The whole of the envelopes of the berry of wheat amount to 3 lb. in 100 lb. of wheat.
No. 5 indicates the testa or episperm. This external tegument of the berry is closer than the preceding ones; it contains in the very small cells two coloring matters, the one of a palish yellow, the other of an orange yellow, and according as the one or the other matter predominates, the wheat is of a more or less intense yellow color; hence come all the varieties of wheat known in commerce as white, reddish, or red wheats. Under this tegument is found a very thin, colorless membrane, which, with the testa or episperm, forms two per cent. of the weight of the wheat.
No. 6 indicates the embryous membrane, which is only an expansion of the germ or embryo No. 10. This membrane is seen purposely removed from its contiguous parts, so as to render more visible its form and insertions. Under this tissue is found with the Nos. 7, 8, and 9, the endosperm or perisperm, containing the gluten and the starch; soluble and insoluble albuminoids, that is to say, the flour.
The endosperm and the embryous membrane are the most interesting parts of the berry; the first is one of the depots of the plastic aliments, the second contains agents capable of dissolving these aliments during the germination, of determining their absorption in the digestive organs of animals, and of producing in the dough a decomposition strong enough to make dark bread. We shall proceed to examine separately these two parts of the berry.
This portion is composed of large glutinous cells, in which the granules of starch are found. The composition of these different layers offers a particular interest; the center, No. 9, is the softest part; it contains the least gluten and the most starch; it is the part which first pulverizes under the stone, and gives, after the first bolting, the fine flour. As this flour is poorest in gluten, it makes a dough with little consistency, and incapable of making an open bread, well raised. The first layer, No. 8, which surrounds the center, produces small white middlings, harder and richer in gluten than the center; it bakes very well, and weighs 20 lb. in 100, and it is these 20 parts in 100 which, when mixed with the 50 parts in the center, form the finest quality flour, used for making white bread.
The layer No. 7, which surrounds the preceding one, is still harder and richer in gluten; unfortunately in the reduction it becomes mixed with some hundredth parts of the bran, which render it unsuitable for making bread of the finest quality; it produces in the regrinding lower grade and dark flours, together weighing 7 per cent. The external layer, naturally adhering to the membrane, No. 6, becomes mixed in the grinding with bran, to the extent of about 20 per cent., which renders it unsuitable even for making brown bread; it serves to form the regrindings and the offals destined for the nourishment of animals; this layer is, however, the hardest, and contains the largest quantity of gluten, and it is by consequence the most nutritive. We now see the endosperm increasing from the center, formed of floury layers, which augment in richness in gluten, in proportion as they are removed from the center. Now, as the flours make more bread in proportion to the quantity of gluten they contain, and the gluten gives more bread in proportion to its being more developed, or having more consistence, it follows that the flour belonging to the parts of the berry nearest the envelopes or coverings should produce the greatest portion of bread, and this is what takes place in effect. The product of the different layers of the endosperm is given below, and it will be seen that the quantity of bread increases in a proportion relatively greater than that of the gluten, which proves once more that the gluten of the center or last formation has less consistence than that of the other layers of older formation.
The following are the results obtained from the same wheat:
Gluten. Bread.
100 parts of flour in center contain.. 8 and produce 128
" " first layer " .. 9,2 " 136
" " second " " .. 11 " 140
" " external " " .. 13 " 145
On the whole, it is seen, according to the composition of the floury part of the grain, that the berry contains on an average 90 parts in 100 of flour fit for making bread of the first quality, and that the inevitable mixing in of a small quantity of bran reduces these 90 to 70 parts with the ordinary processes; but the loss is not alone there, for the foregoing table shows that the best portion of the grain is rejected from the food of man that brown or dark bread is made of flour of very good quality, and that the first quality bread is made from the portion of the endosperm containing the gluten in the smallest quantity and in the least developed form.
This is a consideration not to be passed over lightly; assuredly the gluten of the center contains as much azote as the gluten of the circumference, but it must not be admitted in a general way that the alimentary power of a body is in connection with the amount of azote it contains, and without entering into considerations which would carry us too wide of the subject, we shall simply state that if the flesh of young animals, as, for instance, the calf, has a debilitating action, while the developed flesh of full-grown animals--of a heifer, for example--has really nourishing properties, although the flesh of each animal contains the same quantity of azote, we must conclude that the proportion of elements is not everything, and that the azotic or nitrogenous elements are more nourishing in proportion as they are more developed. This is why the gluten of the layers nearest the bran is of quite a special interest from the point of view of alimentation and in the preparation of bread.
To be intelligible, I must commence by some very brief remarks on the tissues of vegetables. There are two sorts distinguished among plants; some seem of no importance in the phenomena of nutrition; others, on the contrary, tend to the assimilation of the organic or inorganic components which should nourish and develop all the parts of the plant. The latter have a striking analogy with ferments; their composition is almost similar, and their action is increased or diminished by the same causes.
These tissues, formed in a state of repose in vegetables as in grain, have special properties; thus the berry possesses a pericarp whose tissues should remain foreign to the phenomena of germination, and these tissues show no particularity worthy of remark, but the coating of the embryo, which should play an active part, possesses, on the contrary, properties that may be compared to those of ferments. With regard to these ferments, I must further remark that I have not been able, nor am I yet able, to express in formula my opinion of the nature of these bodies, but little known as yet; I have only made use of the language mostly employed, without wishing to touch on questions raised by the effects of the presence, and by the more complex effects of living bodies, which exercise analogous actions.
With these reservations I shall proceed to examine the tissues in the berry which help toward the germination.
THE EMBRYO (10, see woodcut) is composed of the root of the plant, with which we have nothing to do here. This root of the plant which is to grow is embedded in a mass of cells full of fatty bodies. These bodies present this remarkable particularity, that they contain among their elements sulphur and phosphorus. When you dehydrate by alcohol 100 grammes of the embryo of wheat, obtained by the same means as the membrane (a process indicated later on), this embryo, treated with ether, produces 20 grammes of oils composed elementarily of hydrogen, oxygen, carbon, azote, sulphur, and phosphorus. This analysis, made according to the means indicated by M. Fremy, shows that the fatty bodies of the embryo are composed like those of the germ of an egg, like those of the brain and of the nervous system of animals. It is necessary for us to stop an instant at this fact: in the first place, because it proves that vegetables are designed to form the phosphoric as well as the nitrogenous and ternary aliments, and finally, because it indicates how important it is to mix the embryo and its dependents with the bread in the most complete manner possible, seeing that a large portion of these phosphoric bodies always become decomposed during the baking.
COATING OF THE EMBRYO.--This membrane (6), which is only an expansion of the embryo, surrounds the endosperm; it is composed of beautiful irregular cubic cells, diminishing according as they come nearer to the embryo. These cells are composed, first, of the insoluble cellular tissue; second, of phosphate of chalk and fatty phosphoric bodies; third, of soluble cerealine. In order to study the composition and the nature of this tissue, it must be completely isolated, and this result is obtained in the following manner.
The wheat should be damped with water containing 10 parts in 100 of alcoholized caustic soda; at the expiration of one hour the envelopes of the pericarp, and of the testa Nos. 2, 3, 4, 5, should be separated by friction in a coarse cloth, having been reduced by the action of the alkali to a pulpy state; each berry should then be opened separately to remove the portion of the envelope held in the fold of the crease, and then all the berries divided in two are put into three parts of water charged with one-hundredth of caustic potash. This liquid dissolves the gluten, divides the starch, and at the expiration of twenty-four hours the parts of the berries are kneaded between the fingers, collected in pure water, and washed until the water issues clear; these membranes with their embryos, which are often detached by this operation, are cast into water acidulated with one-hundredth of hydrochloric acid, and at the end of several hours they should be completely washed. The product obtained consists of beautiful white membranes, insoluble in alkalies and diluted acids, which show under the microscope beautiful cells joined in a tissue following the embryo, with which it has indeed a striking analogy in its properties and composition. This membrane, exhausted by the alcohol and ether, gives, by an elementary analysis, hydrogen, oxygen, carbon, and azote. Unfortunately, under the action of the tests this membrane has been killed, and it no longer possesses the special properties of active tissues. Among these properties three may be especially mentioned:
1st. Its resistance to water charged with a mineral salt, such as sea salt for instance
2d. Its action through its presence.
3d. Its action as a ferment.
The action of saltwater is explained as follows: When the berry is plunged into pure water it will be observed that the water penetrates in the course of a few hours to the very center of the endosperm, but if water charged or saturated with sea salt be used, it will be seen that the liquid immediately passes through the teguments Nos. 2, 3, 4, and 5, and stops abruptly before the embryo membrane No. 6, which will remain quite dry and brittle for several days, the berry remaining all the time in the water. Should the water penetrate further after several days, it can be ascertained that the entrance was gained through the part No 10 free of this tissue, and this notwithstanding the cells are full of fatty bodies. This membrane alone produces this action, for if the coatings Nos. 2, 3, 4, and 5 be removed, the resistance to the liquid remains the same, while if the whole, or a portion of it, be divided, either by friction between two millstones or by simple incisions, the liquid penetrates the berry within a few hours. This property is analogous to that of the radicules of roots, which take up the bodies most suitable for the nourishment of the plant. It proves, besides, that this membrane, like all those endowed with life, does not obey more the ordinary laws of permeability than those of chemical affinity, and this property can be turned to advantage in the preservation of grain in decortication and grinding.
To determine the action of this tissue through its presence, take 100 grammes of wheat, wash it and remove the first coating by decortication; then immerse it for several hours in lukewarm water, and dry afterwards in an ordinary temperature. It should then be reduced in a small coffee mill, the flour and middlings separated by sifting and the bran repassed through a machine that will crush it without breaking it; then dress it again, and repeat the operation six times at least. The bran now obtained is composed of the embryous membrane, a little flour adhering to it, and some traces of the teguments Nos. 2, 3, 4, and 5. This coarse tissue-weighs about 14 grammes, and to determine its action through its presence, place it in 200 grammes of water at a temperature of 86°; afterwards press it. The liquid that escapes contains chiefly the flour and cerealine. Filter this liquid, and put it in a test glass marked No. 1, which will serve to determine the action of the cerealine.
The bran should now be washed until the water issues pure, and until it shows no bluish color when iodized water and sulphuric acid are added; when the washing is finished the bran swollen by the water is placed under a press, and the liquid extracted is placed, after being filtered, in a test tube. This test tube serves to show that all cerealine has been removed from the blades of the tissue. Finally, these small blades of bran, washed and pressed, are cast, with 50 grammes of lukewarm water, into a test tube, marked No. 3; 100 grammes of diluted starch to one-tenth of dry starch are then added in each test tube, and they are put into a water bath at a temperature of 104° Fahrenheit, being stirred lightly every fifteen minutes. At the expiration of an hour, or at the most an hour and a half, No. 1 glass no longer contains any starch, as it has been converted into dextrine and glucose by the cerealine, and the iodized water only produces a purple color. No. 2 glass, with the same addition, produces a bluish color, and preserves the starch intact, which proves that the bran was well freed from the cerealine contained. No. 3 glass, like No. 1, shows a purple coloring, and the liquid only contains, in place of the starch, dextrine and glucose, i. e, the tissue has had the same action as the cerealine deprived of the tissue, and the cerealine as the tissue freed from cerealine. The same membrane rewashed can again transform the diluted starch several times. This action is due to the presence of the embryous membrane, for after four consecutive operations it still preserves its original weight. As regards the remains of the other segments, they have no influence on this phenomenon, for the coating Nos. 2, 3, 4, and 5, separated by the water and friction, have no action whatever on the diluted starch. Besides its action through its presence, which is immediate, the embryous membrane may also act as a ferment, active only after a development, varying in duration according to the conditions of temperature and the presence or absence of ferments in acting.
I make a distinction here as is seen, between the action through being present, and the action of real ferments, but it is not my intention to approve or disapprove of the different opinions expressed on this subject. I make use of these expressions only to explain more clearly the phenomena I have to speak of, for it is our duty to bear in mind that the real ferments only act after a longer or shorter period of development, while, on the other hand, the effects through presence are immediate.
I now return to the embryous membrane. Various causes increase or decrease the action of this tissue, but it may be said in general that all the agents that kill the embryous membrane will also kill the cerealine. This was the reason why I at first attributed the production of dark bread exclusively to the latter ferment, but it was easy to observe that during the baking, decompositions resulted at over 158° Fah., while the cerealine was still coagulated, and that bread containing bran, submitted to 212° of heat, became liquefied in water at 104°. It was now easy to determine that dark flours, from which the cerealine had been removed by repeated washings, still produced dark bread. It was at this time, in remembering my experiences with organic bodies, I determined the properties of the insoluble tissue, deprived of the soluble cerealine, with analogous properties, but distinguished not alone by its solid organization and state of insolubility, but also by its resistance to heat, which acts as on yeast. There exists, in reality, I repeat, a resemblance between the embryous membrane and the yeast; they have the same immediate composition; they are destroyed by the same poisons, deadened by the same temperatures, annihilated by the same agents, propagated in an analogous manner, and it might be said that the organic tissues endowed with life are only an agglomeration of fixed cells of ferments. At all events, when the blades of the embryous membrane, prepared as already stated, are exposed to a water bath at 212°, this tissue, in contact with the diluted starch, produces the same decomposition; the contact, however, should continue two or three hours in place of one. If, instead of placing these membranes in the water bath, they are enveloped in two pounds of dough, and this dough put in the oven, after the baking the washed membranes produce the same results, which especially proves that this membrane can support a temperature of 212° Fah. without disorganization. We shall refer to this property in speaking of the phenomena of panification.
CEREALINE.--The cells composing the embryous membrane contain, as already stated, the cerealine, but after the germination they contain cerealine and diastase, that is to say, a portion of the cerealine changed into diastase, with which it has the greatest analogy. It is known how difficult it is to isolate and study albuminous substances. The following is the method of obtaining and studying cerealine. Take the raw embryous membrane, prepared as stated, steep it for an hour in spirits of wine diluted with twice its volume of water, and renew this liquid several times until the dextrine, glucose, coloring matters, etc., have been completely removed. The membranes should now be pressed and cast into a quantity of water sufficient to make a fluid paste of them, squeeze out the mixture, filter the liquid obtained, and this liquid will contain the cerealine sufficiently pure to be studied in its effects. Its principal properties are: The liquid evaporated at a low temperature produces an amorphous, rough mass nearly colorless, and almost entirely soluble in distilled water; this solution coagulates between 158° and 167° Fah., and the coagulum is insoluble in acids and weak alkalies; the solution is precipitated by all diluted acids, by phosphoric acid at all the degrees of hydration, and even by a current of carbonic acid. All these precipitates redissolve with an excess of acid, sulphuric acid excepted. Concentrated sulphuric acid forms an insoluble downy white precipitate, and the concentrated vegetable acids, with the exception of tannic acid, do not determine any precipitate. Cerealine coagulated by an acid redissolves in an excess of the same acid, but it has become dead and has no more action on the starch. The alkalies do not form any precipitate, but they kill the cerealine as if it had been precipitated The neutral rennet does not make any precipitate in a solution of cerealine--5 centigrammes of dry cerealine transform in twenty-five minutes 10 grammes of starch, reduced to a paste by 100 grammes of water at 113° Fah. It will be seen that cerealine has a grand analogy with albumen and legumine, but it is distinguished from them by the action of the rennet, of the heat of acids, alcohol, and above all by its property of transforming the starch into glucose and dextrine.
It may be said that some albuminous substances have this property, but it must be borne in mind that these bodies, like gluten, for example, only possess it after the commencement of the decomposition. The albuminous matter approaching nearest to cerealine is the diastase, for it is only a transformation of the cerealine during the germination, the proof of which may be had in analyzing the embryous membrane, which shows more diastase and less cerealine in proportion to the advancement of the germination: it differs, however, from the diastase by the action of heat, alcohol, etc. It is seen that in every case the cerealine and the embryous membrane act together, and in an analogous manner; we shall shortly examine their effects on the digestion and in the phenomena of panification.
PHOSPHATE OF CALCIUM.--Mr. Payen was the first to make the observation that the greatest amount of phosphate of chalk is found in the teguments adjoining the farinaceous or floury mass. This observation is important from two points of view; in the first place, it shows us that this mineral aliment, necessary to the life of animals, is rejected from ordinary bread; and in the next place, it brings a new proof that phosphate of chalk is found, and ought to be found, in everyplace where there are membranes susceptible of exercising vital functions among animals as well as vegetables.
Phosphate of chalk is not in reality (as I wished to prove in another work) a plastic matter suitable for forming bones, for the bones of infants are three times more solid than those of old men, which contain three times as much of it. The quantity of phosphate of chalk necessary to the constitution of animals is in proportion to the temperature of those animals, and often in the inverse ratio of the weight of their bones, for vegetables, although they have no bones, require phosphate of chalk. This is because this salt is the natural stimulant of living membranes, and the bony tissue is only a depot of phosphate of chalk, analogous to the adipose tissue, the fat of which is absorbed when the alimentation coming from the exterior becomes insufficient. Now, as we know all the parts constituting the berry of wheat, it will be easy to explain the phenomena of panification, and to conclude from the present moment that it is not indifferent to reject from the bread this embryous membrane where the agents of digestion are found, viz., the phosphoric bodies and the phosphate of chalk.
The following article was written by Albert Hoppin, editor of the Northwestern Miller, at the request of Special Agent Chas. W. Johnson, and forms a part of his report to the census bureau on the manufacturing industries of Minneapolis.
"The development of the milling industry in this city has been so intimately connected with the growth and prosperity of the city itself, that the steps by which the art of milling has reached its present high state of perfection are worthy of note, especially as Minneapolis may rightly claim the honor of having brought the improvements, which have within the last decade so thoroughly revolutionized the art of making flour, first into public notice, and of having contributed the largest share of capital and inventive skill to their full development. So much is this the case that the cluster of mills around the Falls of St. Anthony is to-day looked upon as the head-center of the milling industry not only of this country, but of the world. An exception to this broad statement may possibly be made in favor of the city of Buda Pest, in Austro-Hungary, from the leading mills in which the millers in this country have obtained many valuable ideas. To the credit of American millers and millwrights it must, however, be said that they have in all cases improved upon the information they have thus obtained.
"To rightly understand the change that has taken place in milling methods during the last ten years, it is necessary to compare the old way with the new, and to observe wherein they differ. From the days of Oliver Evans, the first American mechanic to make any improvement in milling machinery, until 1870, there was, if we may except some grain cleaning or smut machines, no very strongly marked advance in milling machinery or in the methods of manufacturing flour. It is true that the reel covered with finely-woven silk bolting cloth had taken the place of the muslin or woolen covered hand sieve, and that the old granite millstones have given place to the French burr; but these did not affect the essential parts of the modus operandi, although the quality of the product was, no doubt, materially improved. The processes employed in all the mills in the United States ten years ago were identical, or very nearly so, with those in use in the Brandywine Mills in Evans's day. They were very simple, and may be divided into two distinct operations.
"First. Grinding (literally) the wheat.
"Second. Bolting or separating the flour or interior portion of the berry from the outer husk, or bran. It may seem to some a rash assertion, but this primitive way of making flour is still in vogue in over one-half of the mills of the United States. This does not, however, affect the truth of the statement that the greater part of the flour now made in this country is made on an entirely different and vastly-improved system, which has come to be known to the trade as the new process.
"In looking for a reason for the sudden activity and spirit of progress which had its culmination in the new process, the character of the wheat raised in the different sections of the Union must be taken into consideration. Wheat may be divided into two classes, spring and winter, the latter generally being more starchy and easily pulverized, and at the same time having a very tough bran or husk, which does not readily crumble or cut to pieces in the process of grinding. It was with this wheat that the mills of the country had chiefly to do, and the defects of the old system of milling were not then so apparent. With the settlement of Minnesota, and the development of its capacities as a wheat-growing State, a new factor in the milling problem was introduced, which for a time bid fair to ruin every miller who undertook to solve it. The wheat raised in this State was, from the climatic conditions, a spring wheat, hard in structure and having a thin, tender, and friable bran. In milling this wheat, if an attempt was made to grind it as fine as was then customary to grind winter wheat, the bran was ground almost as fine as the flour, and passed as readily through the meshes of the bolting reels or sieves, rendering the flour dark, specky, and altogether unfit to enter the Eastern markets in competition with flour from the winter wheat sections. On the other hand, if the grinding was not so fine as to break up the bran, the interior of the berry being harder to pulverize, was not rendered sufficiently fine, and there remained after the flour was bolted out a large percentage of shorts or middlings, which, while containing the strongest and best flour in the berry, were so full of dirt and impurities as to render them unfit for any further grinding except for the very lowest grade of flour, technically known as 'red dog.' The flour produced from the first grinding was also more or less specky and discolored, and, in everything but strength, inferior to that made from winter wheat, while the 'yield' was so small, or, in other words, the amount of wheat which it took to make a barrel of flour was so large, that milling in Minnesota and other spring wheat sections was anything but profitable.
"The problem which ten years since confronted the millers of this city was how to obtain from the wheat which they had to grind a white, clear flour, and to so increase the yield as to leave some margin for profit. The first step in the solution of this problem was the invention by E. N. La Croix of the machine which has since been called the purifier, which removed the dirt and light impurities from the refuse middlings in the same manner that dust and chaff are removed from wheat by a fanning mill. The middlings thus purified were then reground, and the result was a much whiter and cleaner flour than it had been possible to obtain under the old process of low close grinding. This flour was called 'patent' or 'fancy,' and at once took a high position in the market. The first machine built by La Croix was immediately improved by George T. Smith, and has since then been the subject of numberless variations, changes, and improvements; and over the principles embodied in its construction there has been fought one of the longest and most bitter battles recorded in the annals of patent litigation in this country. The purifier is to-day the most important machine in use in the manufacture of flour in this country, and may with propriety be called the corner-stone of new process milling. The earliest experiments in its use in this country were made in what was then known as the 'big mill' in this city, owned by Washburn, Stephens & Co., and now known as the Washburn Mill B.
"The next step in the development of the new process, also originating in Minneapolis, was the abandonment of the old system of cracking the millstone, and substituting in its stead the use of smooth surfaces on the millstones, thus in a large measure doing away with the abrasion of the bran, and raising the quality of the flour produced at the first grinding. So far as we know, Mr. E. R. Stephens, a Minneapolis miller, then employed in the mill owned by Messrs. Pillsbury, Crocker & Fish, and now a member of the prominent milling firm of Freeman & Stephens, River Falls, Wisconsin, was the first to venture on this innovation. He also first practiced the widening of the furrows in the millstones and increasing their number, thus adding largely to the amount of middlings made at the first grinding, and raising the percentage of patent flour. He was warmly supported by Amasa K. Ostrander, since deceased, the founder and for a number of years the editor of the North-Western Miller, a trade newspaper. The new ideas were for a time vigorously combated by the millers, but their worth was so plain that they were soon adopted, not only in Minneapolis, but by progressive millers throughout the country. The truth was the 'new process' in its entirety, which may be summarized in four steps--first, grinding or, more properly, granulating the berry; second, bolting or separating the 'chop' or meal into first flour, middlings, and bran; third, purifying the middlings, fourth, regrinding and rebolting the middlings to produce the higher grade, or 'patent' flour. This higher grade flour drove the best winter wheat flours out of the Eastern markets, and placed milling in Minnesota upon a firm basis. The development of the 'new process' cannot be claimed by any one man. Hundreds of millers all over the country have contributed to its advance, but the millers of Minneapolis have always taken the lead.
"Within the past two or three years what may be distinctively called the 'new process' has, in the mills of Minneapolis and some few other leading mills in the country, been giving place to a new system, or rather, a refinement of the processes above described. This latest system is known to the trade as the 'gradual reduction' or high-grinding system, as the 'new process' is the medium high-grinding system, and the old way is the low or close grinding system. In using the gradual reduction in making flour the millstones are abandoned, except for finishing some of the inferior grades of flour, and the work is done by means of grooved and plain rollers, made of chilled iron or porcelain. In some cases disks of chilled iron, suitably furrowed, are used, and in others concave mills, consisting of a cylinder running against a concave plate. In Minneapolis the chilled iron rolls take the precedence of all other means.
"The system of gradual reduction is much more complicated than either of those which preceded it; but the results obtained are a marked advance over the 'new process.' The percentage of high-grade flour is increased, several grades of different degrees of excellence being produced, and the yield is also greater from a given quantity of wheat. The system consists in reducing the wheat to flour, not at one operation, as in the old system, nor in two grindings, as in the 'new process,' but in several successive reductions, four, five, or six, as the case may be. The wheat is first passed through a pair of corrugated chilled iron rollers, which merely split it open along the crease of the berry, liberating the dirt which lies in the crease so that it can be removed by bolting. A very small percentage of low-grade flour is also made in this reduction. After passing through what is technically called a 'scalping reel' to remove the dirt and flour, the broken wheat is passed through a second set of corrugated rollers, by which it is further broken up, and then passes through a second separating reel, which removes the flour and middlings. This operation is repeated successively until the flour portion of the berry is entirely removed from the bran, the necessary separation being made after each reduction. The middlings from the several reductions are passed through the purifiers, and, after being purified, are reduced to flour by successive reductions on smooth iron or porcelain rollers. In some cases, as stated above, iron disks and concave mills are substituted for the roller mill, but the operation is substantially the same. One of the principal objects sought to be attained by this high-grinding system is to avoid all abrasion of the bran, another is to take out the dirt in the crease of the berry at the beginning of the process, and still another to thoroughly free the bran from flour, so as to obtain as large a yield as possible. Incidental to the improved methods of milling, as now practiced in this country, is a marked improvement in the cleaning of the grain and preparing it for flouring. The earliest grain-cleaning machine was the 'smutter,' the office of which was to break the smut balls, and scour the outside of the bran to remove any adhering dust, the scouring machine being too harsh in its action, breaking the kernels of wheat, and so scratching and weakening the bran that it broke up readily in the grinding. The scouring process was therefore lessened, and was followed by brush machines, which brushed the dirt, loosened up and left by the scourer, from the berry. Other machines for removing the fuzzy and germ ends of the berry have also been introduced, and everything possible is done to free the grain from extraneous impurities before the process of reduction is commenced. In all the minor details of the mill there has been the same marked change, until the modern merchant mill of to-day no more resembles that of twenty-five years ago than does the modern cotton mill the old-fashioned distaff. The change has extended into the winter wheat sections, and no mill in the United States can hope to hold its place in the markets unless it is provided with the many improvements in machinery and processes which have resulted from the experiments begun in this city only ten years since, and which have made the name of Minneapolis and the products of her many mills famous throughout the world. The relative merits of the flour made by the new process and the old have been warmly discussed, but the general verdict of the great body of consumers is that the patent or new process flour is better in every way for bread making purposes, being clearer, whiter, more evenly granulated, and possessing more strength. Careful chemical analysis has confirmed this. As between winter and spring wheat flours made by the new process and gradual reduction systems, it maybe remarked that the former contain more starch and are whiter in color, while the latter, having more gluten, excel in strength. In milling all varieties of wheat, whether winter or spring, the new processes are in every way superior to the old, and, in aiding their inception and development, the millers of Minneapolis have conferred a lasting benefit on the country.
"Minneapolis, Minn., December 1, 1880."
Mr. Johnson added the following, showing the present status of the milling industry in Minneapolis:
"The description of the process of the manufacture of flour so well given above, conveys no idea of the extent and magnitude of the milling structures, machinery, and buildings employed in the business. Many of the leading millers and millwrights have personally visited and studied the best mills in England, France, Hungary, and Germany, and are as familiar with their theory, methods, and construction as of their own, and no expense or labor has been spared in introducing the most approved features of the improvements in the foreign mills. Experimenting is constantly going on, and the path behind the successful millers is strewn with the wrecks of failures. A very large proportion of the machinery is imported, though the American machinists are fast outstripping their European rivals in the quality and efficiency of the machinery needed for the new mills constantly going up.
"There are twenty-eight of these mills now constructed and at work, operating an equivalent of 412 runs of stone, consuming over sixteen million bushels of wheat, and manufacturing over three million barrels of flour annually. Their capacities range from 250 to 1,500 barrels of flour per day. Great as these capacities are, there is now one in process of construction, the Pillsbury A Mill, which at the beginning of the harvest of 1881 will have a capacity of 4,000 barrels daily. The Washburn A Mill, whose capacity is now 1,500 barrels, is being enlarged to make 8,500 barrels a day, and the Crown Roller Mill, owned by Christian Bros. & Co., is also being enlarged to produce 3,000 barrels a day. The largest mill in Europe has a daily capacity of but 2,800 barrels, and no European mill is fitted with the exquisite perfection of machinery and apparatus to be found in the mills of this city.
"The buildings are mainly built of blue limestone, found so abundant in the quarries of this city, range and line work, and rest on the solid ledge. The earlier built mills are severely plain, but the newer ones are greatly improved by the taste of the architect, and are imposing and beautiful in appearance."
The flour of Minneapolis, holding so high a rank in the markets of the world, is always in active demand, especially the best grades, and brings from $1.00 to $1.60 per barrel more than flour of the best qualities of southern, eastern, or foreign wheat. During the year nearly a million barrels were shipped direct to European and other foreign ports, on through bills of lading, and drawn for by banks here having special foreign exchange arrangements, at sight, on the day of shipment. This trade is constantly increasing, and the amount of flour handled by eastern commission men is decreasing in proportion.
Referring to the foregoing, the following letter from Mr. Geo. T. Smith to the editor of the London Miller is of interest:
SIR: I find published in the North-western Miller of December 24, 1880, extracts from an article on the origin of new process milling, prepared by Albert Hoppin, Esq., editor of the above-named journal, for the use of one of the statistical divisions of the United States census, which is so at variance, in at least one important particular, with the facts set forth in the paper read by me before the British and Irish millers, at their meeting in May last, that I think I ought to take notice of its statements, more especially as the North-Western Miller has quite a circulation on this side of the water.
As stated in the paper read by me above-mentioned, I was engaged in February, 1871, by Mr. Christian, who was then operating the "big," or Washburn Mill at Minneapolis, to take charge of the stones in that mill. At this time Mr. Christian was very much interested in the improvement of the quality of his flour, which in common with the flour of Minneapolis mills, without exception, was very poor indeed. For some time previous to this I had insisted to him most strenuously that the beginning of any improvement must be found in smooth, true, and well balanced stones, and it was because he was at last convinced that my ideas were at least worthy of a practical test I was placed in charge of his mill. Nearly two months were consumed in truing and smoothing the stone, as all millers in the mill had struck at once when they became acquainted with the character of the changes I proposed to make.
I remained with Mr. Christian until the latter part of 1871, in all about eight months. During this time the flour from the Washburn Mill attained a celebrity that made it known and sought after all over the United States. It commanded attention as an event of the very greatest importance, from the fact that it was justly felt that if a mill grinding spring wheat exclusively was capable of producing a flour infinitely superior in every way to the best that could be made from the finest varieties of winter wheats, the new North Western territory, with its peculiar adaptation to the growing of spring grain, and its boundless capacity for production, must at once become one of the most important sections of the country.
Mr. Christian's appreciation of the improvements I had made in his mill was attested by doubly-locked and guarded entrances, and by the stringent regulations which were adopted to prevent any of his employes carrying information with regard to the process to his competitors.
All this time other Minneapolis mills were doing such work and only such as they had done previously. Ought not the writer of an article on the origin of new process milling--which article is intended to become historical, and to have its authenticity indorsed by the government--to have known whether Mr. Christian, in the Washburn Mill, did or did not make a grade of flour which has hardly been excelled since for months before any other Minneapolis mill approached his product in any degree? And should he not be well enough acquainted with the milling of that period--1871-2--to know that such results as were obtained in the Washburn Mill could only be secured by the use of smooth and true stones? Mr. Stephens--whom I shall mention again presently--did not work in the Washburn Mill while I was in charge of it.
In the fall of 1871 I entered into a contract with Mr. C. A. Pillsbury, owner of the Taylor Mill and senior partner in the firm by whom the Minneapolis Mill was operated, to put both those mills into condition to make the same grade of flour as Mr. Christian was making. The consideration in the contract was 5,000 dols. At the above mills I met to some extent the same obstruction in regard to millers striking as had greeted me at Mr. Christian's mill earlier in the year; but among those who did not strike at the Minneapolis Mill I saw, for the first time, Mr. Stephens--then still in his apprenticeship--whom Mr. Hoppin declares to have been, "so far as I know," the first miller to use smooth stones. If Mr. Hoppin is right in his assertion, perhaps he will explain why, during the eight months I was at the Washburn Mill, Mr. Stephens did not make a corresponding improvement in the product of the Minneapolis Mill. That he did not do this is amply proved by the fact of Mr. Pillsbury giving me 5,000 dols. to introduce improvements into his mills, when, supposing Mr. Hoppin's statement to be correct, he might have had the same alterations carried out under Mr. Stephens' direction at a mere nominal cost. As a matter of fact, the stones in both the Taylor and Minneapolis Mills were as rough as any in the Washburn Mill when I took charge of them.
Thus it appears (1) that the flour made by the mill in which Stephens was employed was not improved in quality, while that of the Washburn Mill, where he was not employed, became the finest that had ever been made in the United States at that time. That (2) the owner of the mill in which Mr. Stephens was employed, as he was not making good flour, engaged me at a large cost to introduce into his mills the alterations by which only, both Mr. Hoppin and myself agree, could any material improvement in the milling of that period be effected, .viz., smooth, true, and well-balanced stones.--GEO. T. SMITH.
For breachy animals do not use barbed fences. To see the lacerations that these fences have produced upon the innocent animals should be sufficient testimony against them. Many use pokes and blinders on cattle and goats, but as a rule such things fail. The better way is to separate breachy animals from the lot, as others will imitate their habits sooner or later, and then, if not curable, sell them.
The name of the simple Bordeaux peasant is, and should be, permanently associated with his discovery that the milking qualities of cows were, to a considerable extent, indicated by certain external marks easily observed. We had long known that capacious udders and large milk veins, combined with good digestive capacity and a general preponderance of the alimentary over the locomotive system, were indications that rarely misled in regard to the ability of a cow to give much milk; but to judge of the amount of milk a cow would yield, and the length of time she would hold out in her flow, two or three years before she could be called a cow--this was Guenon's great accomplishment, and the one for which he was awarded a gold medal by the Agricultural Society of his native district. This was the first of many honors with which he was rewarded, and it is much to say that no committee of agriculturists who have ever investigated the merits of the system have ever spoken disparagingly of it. Those who most closely study it, especially following Guenon's original system, which has never been essentially improved upon, are most positive in regard to its truth, enthusiastic in regard to its value.
The fine, soft hair upon the hinder part of a cow's udder for the most part turns upward. This upward-growing hair extends in most cases all over that part of the udder visible between the hind legs, but is occasionally marked by spots or mere lines, usually slender ovals, in which the hair grows down. This tendency of the hair to grow upward is not confined to the udder proper; but extends out upon the thighs and upward to the tail. The edges of this space over which the hair turns up are usually distinctly marked, and, as a rule, the larger the area of this space, which is called the "mirror" or "escutcheon," the more milk the cow will give, and the longer she will continue in milk.
ESCUTCHEON OF THE JERSEY BULL-CALF, GRAND MIRROR, 4,904.
That portion of the escutcheon which covers the udder and extends out on the inside of each thigh, has been designated as the udder or mammary mirror; that which runs upward towards the setting on of the tail, the rising or placental mirror. The mammary mirror is of the greater value, yet the rising mirror is not to be disregarded. It is regarded of especial moment that the mirror, taken as a whole, be symmetrical, and especially that the mammary mirror be so; yet it often occurs that it is far otherwise, its outline being often very fantastical--exhibiting deep bays, so to speak, and islands of downward growing hair. There are also certain "ovals," never very large, yet distinct, which do not detract from the estimated value of an escutcheon; notably those occurring on the lobes of the udder just above the hind teats. These are supposed to be points of value, though for what reason it would be hard to tell, yet they do occur upon some of the very best milch cows, and those whose mirrors correspond most closely to their performances.
Mr. Guenon's discovery enables breeders to determine which of their calves are most promising, and in purchasing young stock it affords indications which rarely fail as to their comparative milk yield. These indications occasionally prove utterly fallacious, and Mr. Guenon gives rules for determining this class, which he calls "bastards," without waiting for them to fail in their milk. The signs are, however, rarely so distinct that one would be willing to sell a twenty-quart cow, whose yield confirmed the prediction of her mirror at first calving, because of the possibility of the going dry in two months, or so, as indicated by her bastardy marks.
It is an interesting fact that the mirrors of bulls (which are much like those of cows, but less extensive in every direction) are reflected in their daughters. This gives rise to the dangerous custom of breeding for mirrors, rather than for milk. What the results may be after a few years it is easy to see. The mirror, being valued for its own sake--that is, because it sells the heifers--will be likely to lose its practical significance and value as a milk mirror.
We have a striking photograph of a young Jersey bull, the property of Mr. John L. Hopkins, of Atlanta, Ga., and called "Grand Mirror." This we have caused to be engraved and the mirror is clearly shown. A larger mirror is rarely seen upon a bull. We hope in a future number to exhibit some cows' mirrors of different forms and degrees of excellence.--Rural New Yorker.
The negundo, or ash-leaved maple, as it is called in the Eastern States, better known at the West as a box elder, is a tree that is not known as extensively as it deserves. It is a hard maple, that grows as rapidly as the soft maple; is hardy, possesses a beautiful foliage of black green leaves, and is symmetrical in shape. Through eastern Iowa I found it growing wild, and a favorite tree with the early settlers, who wanted something that gave shade and protection to their homes quickly on their prairie farms. Brought east, its growth is rapid, and it loses none of the characteristics it possessed in its western home. Those who have planted it are well pleased with it. It is a tree that transplants easily, and I know of no reason why it should not be more popular.
For ornamental lawn planting, I give pre-eminence to the cut-leaf weeping birch. Possessing all the good qualities of the white birch, it combines with them a beauty and delicate grace yielded by no other tree. It is an upright grower, with slender, drooping branches, adorned with leaves of deep rich green, each leaf being delicately cut, as with a knife, into semi-skeletons. It holds its foliage and color till quite late in the fall. The bark, with age, becomes white, resembling the white birch, and the beauty of the tree increases with its age. It is a free grower, and requires no trimming. Nature has given it a symmetry which art cannot improve.
H.T.J.
I am a very good sod layer, and used to lay very large lawns--half to three-quarters of an acre. I cut the sods as follows: Take a board eight to nine inches wide, four, five, or six feet long, and cut downward all around the board, then turn the board over and cut again alongside the edge of the board, and so on as many sods as needed. Then cut the turf with a sharp spade, all the same lengths. Begin on one end, and roll together. Eight inches by five feet is about as much as a man can handle conveniently. It is very easy to load them on a wagon, cart, or barrow, and they can be quickly laid. After laying a good piece, sprinkle a little with a watering pot, if the sods are dry; then use the back of the spade to smooth them a little. If a very fine effect is wanted, throw a shovelful or two of good earth over each square yard, and smooth it with the back of a steel rake.
F.H.
[COUNTRY GENTLEMAN.]
The Western New York Society met at Rochester, January 26.
New Apples, Pears, Grapes, etc.--Wm. C Barry, secretary of the committee on native fruits, read a full report. Among the older varieties of the apple, he strongly recommended Button Beauty, which had proved so excellent in Massachusetts, and which had been equally successful at the Mount Hope Nurseries at Rochester; the fine growth of the tree and its great productiveness being strongly in its favor. The Wagener and Northern Spy are among the finer sorts. The Melon is one of the best among the older sorts; the fruit being quite tender will not bear long shipment, but it possesses great value for home use, and being a poor grower, it had been thrown aside by nurserymen and orchardists. It should be top-grafted on more vigorous sorts. The Jonathan is another fine sort of slender growth, which should be top-grafted.
Among new pears, Hoosic and Frederic Clapp were highly commended for their excellence. Some of the older peaches of fine quality had of late been neglected, and among them Druid Hill and Brevoort.
Among the many new peaches highly recommended for their early ripening, there was great resemblance to each other, and some had proved earlier than Alexander.
Of the new grapes, Lady Washington was the most promising. The Secretary was a failure. The Jefferson was a fine sort, of high promise.
Among the new white grapes, Niagara, Prentiss, and Duchess stood pre-eminent, and were worthy of the attention of cultivators. The Vergennes, from Vermont, a light amber colored sort, was also highly commended. The Elvira, so highly valued in Missouri, does not succeed well here. Several facts were stated in relation to the Delaware grape, showing its reliability and excellence.
Several new varieties of the raspberry were named, but few of them were found equal to the best old sorts. If Brinckle's Orange were taken as a standard for quality, it would show that none had proved its equal in fine quality. The Caroline was like it in color, but inferior in flavor. The New Rochelle was of second quality. Turner was a good berry, but too soft for distant carriage.
Of the many new strawberries named, each seemed to have some special drawback. The Bidwell, however, was a new sort of particular excellence, and Charles Downing thinks it the most promising of the new berries.
Discussion on Grapes.--C. W. Beadle, of Ontario, in allusion to Moore's Early grape, finds it much earlier than the Concord, and equal to it in quality, ripening even before the Hartford. S. D. Willard, of Geneva, thought it inferior to the Concord, and not nearly so good as the Worden. The last named was both earlier and better than the Concord, and sold for seven cents per pound when the Concord brought only four cents. C. A. Green, of Monroe County, said the Lady Washington proved to be a very fine grape, slightly later than Concord. P. L. Perry, of Canandaigua, said that the Vergennes ripens with Hartford, and possesses remarkable keeping qualities, and is of excellent quality and free from pulp. He presented specimens which had been kept in good condition. He added, in relation to the Worden grape, that some years ago it brought 18 cents per pound in New York when the Concord sold three days later for only 8 cents. [In such comparisons, however, it should be borne in mind that new varieties usually receive more attention and better culture, giving them an additional advantage.]
The Niagara grape received special attention from members. A. C. Younglove, of Yates County, thought it superior to any other white grape for its many good qualities. It was a vigorous and healthy grower, and the clusters were full and handsome. W. J. Fowler, of Monroe County, saw the vine in October, with the leaves still hanging well, a great bearer and the grape of fine quality. C. L. Hoag, of Lockport, said he began to pick the Niagara on the 26th of August, but its quality improved by hanging on the vine. J. Harris, of Niagara County, was well acquainted with the Niagara, and indorsed all the commendation which had been uttered in its favor. T. C. Maxwell said there was one fault--we could not get it, as it was not in market. W. C. Barry, of Rochester, spoke highly of the Niagara, and its slight foxiness would be no objection to those who like that peculiarity. C. L. Hoag thought this was the same quality that Col. Wilder described as "a little aromatic." A. C. Younglove found the Niagara to ripen with the Delaware. Inquiry being made relative to the Pockington grape, H. E. Hooker said it ripened as early as the Concord. C. A. Green was surprised that it had not attracted more attention, as he regarded it as a very promising grape. J. Charlton, of Rochester, said that the fruit had been cut for market on the 29th of August, and on the 6th of September it was fully ripe; but he has known it to hang as late as November. J. S. Stone had found that when it hung as late as November it became sweet and very rich in flavor.
New Peaches.--A. C. Younglove had found such very early sorts as Alexander and Amsden excellent for home use, but not profitable for market. The insects and birds made heavy depredations on them. While nearly all very early and high-colored sorts suffer largely from the birds, the Rivers, a white peach, does not attract them, and hence it may be profitable for market if skillfully packed; rough and careless handling will spoil the fruit. He added that the Wheatland peach sustains its high reputation, and he thought it the best of all sorts for market, ripening with Late Crawford. It is a great bearer, but carries a crop of remarkably uniform size, so that it is not often necessary to throw out a bad specimen. This is the result of experience with it by Mr. Rogers at Wheatland, in Monroe County, and at his own residence in Vine Valley. S. D. Willard confirmed all that Mr. Younglove had said of the excellence of the Rivers peach. He had ripened the Amsden for several years, and found it about two weeks earlier than the Rivers, and he thought if the Amsden were properly thinned, it would prevent the common trouble of its rotting; such had been his experience. E. A. Bronson, of Geneva, objected to making very early peaches prominent for marketing, as purchasers would prefer waiting a few days to paying high prices for the earliest, and he would caution people against planting the Amsden too largely, and its free recommendation might mislead. May's Choice was named by H. E. Hooker as a beautiful yellow peach, having no superior in quality, but perhaps it may not be found to have more general value than Early and Late Crawford. It is scarcely distinguishable in appearance from fine specimens of Early Crawford. W. C. Barry was called on for the most recent experience with the Waterloo, but said he was not at home when it ripened, but he learned that it had sustained its reputation. A. C. Younglove said that the Salway is the best late peach, ripening eight or ten days after the Smock. S. D. Willard mentioned an orchard near Geneva, consisting of 25 Salway trees, which for four years had ripened their crop and had sold for $4 per bushel in the Philadelphia market, or for $3 at Geneva--a higher price than for any other sort--and the owner intends to plant 200 more trees. W. C. Barry said the Salway will not ripen at Rochester. Hill's Chili was named by some members as a good peach for canning and drying, some stating that it ripens before and others after Late Crawford. It requires thinning on the tree, or the fruit will be poor. The Allen was pronounced by Mr. Younglove as an excellent, intensely high-colored late peach.
Insects Affecting Horticulture.--Mr. Zimmerman spoke of the importance of all cultivators knowing so much of insects and their habits as to distinguish their friends from their enemies. When unchecked they increase in an immense ratio, and he mentioned as an instance that the green fly (Aphis) in five generations may become the parent of six thousand million descendants. It is necessary, then, to know what other insects are employed in holding them in check, by feeding on them. Some of our most formidable insects have been accidentally imported from Europe, such as the codling moth, asparagus beetle, cabbage butterfly, currant worm and borer, elm-tree beetle, hessian fly, etc.; but in nearly every instance these have come over without bringing their insect enemies with them, and in consequence they have spread more extensively here than in Europe. It was therefore urged that the Agricultural Department at Washington be requested to import, as far as practicable, such parasites as are positively known to prey on noxious insects. The cabbage fly eluded our keen custom-house officials in 1866, and has enjoyed free citizenship ever since. By accident, one of its insect enemies (a small black fly) was brought over with it, and is now doing excellent work by keeping the cabbage fly in check.
The codling moth, one of the most formidable fruit destroyers, may be reduced in number by the well-known paper bands; but a more efficient remedy is to shower them early in the season with Paris green, mixed in water at the rate of only one pound to one hundred gallons of water, with a forcing pump, soon after blossoming. After all the experiments made and repellents used for the plum curculio, the jarring method is found the most efficient and reliable, if properly performed. Various remedies for insects sometimes have the credit of doing the work, if used in those seasons when the insects happen to be few. With some insects, the use of oil is advantageous, as it always closes up their breathing holes and suffocates them. The oil should be mixed with milk, and then diluted as required, as the oil alone cannot be mixed with the water. As a general remedy, Paris green is the strongest that can be applied. A teaspoonful to a tablespoonful, in a barrel of water, is enough. Hot water is the best remedy for house plants. Place one hand over the soil, invert the pot, and plunge the foliage for a second only at a time in water heated to from 150° to 200°F, according to the plants; or apply with a fine rose. The yeast remedy has not proved successful in all cases.
Among beneficial insects, there are about one hundred species of lady bugs, and, so far as known, all are beneficial. Cultivators should know them. They destroy vast quantities of plant lice. The ground beetles are mostly cannibals, and should not be destroyed. The large black beetle, with coppery dots, makes short work with the Colorado potato beetles; and a bright green beetle will climb trees to get a meal of canker worms. Ichneumon flies are among our most useful insects. The much-abused dragon flies are perfectly harmless to us, but destroy many mosquitoes and flies.
Among insects that attack large fruits is the codling moth, to be destroyed by paper bands, or with Paris green showered in water. The round-headed apple-tree borer is to be cut out, and the eggs excluded with a sheet of tarred paper around the stem, and slightly sunk in the earth. For the oyster-shell bark louse, apply linseed oil. Paris green, in water, will kill the canker worm. Tobacco water does the work for plant lice. Peach-tree borers are excluded with tarred or felt paper, and cut out with a knife. Jar the grape flea beetle on an inverted umbrella early in the morning. Among small-fruit insects, the strawberry worms are readily destroyed with hellebore, an ounce to a gallon of warm water. The same remedy destroys the imported currant worm.
Insect Destroyers.--Prof. W. Saunders, of the Province of Ontario, followed Mr. Zimmerman with a paper on other departments of the same general subject, which contained much information and many suggestions of great value to cultivators. He had found Paris green an efficient remedy for the bud-moth on pear and other trees. He also recommends Paris green for the grapevine flea beetle. Hellebore is much better for the pear slug than dusting with sand, as these slugs, as soon as their skin is spoiled by being sanded, cast it off and go on with their work of destruction as freely as ever, and this they repeat. He remarked that it is a common error that all insects are pests to the cultivator. There are many parasites, or useful ones, which prey on our insect enemies. Out of 7,000 described insects in this country, only about 50 have proved destructive to our crops. Parasites are much more numerous. Among lepidopterous insects (butterflies, etc.), there are very few noxious species; many active friends are found among the Hymenoptera (wasps, etc.), the ichneumon flies pre-eminently so; and in the order Hemiptera (bugs proper) are several that destroy our enemies. Hence the very common error that birds which destroy insects are beneficial to us, as they are more likely to destroy our insect friends than the fewer enemies. Those known as flycatchers may do neither harm nor good; so far as they eat the wheat-midge and Hessian fly they confer a positive benefit; in other instances they destroy both friends and enemies. Birds that are only partly insectivorous, and which eat grain and fruit, may need further inquiry. Prof. S. had examined the stomachs of many such birds, and particularly of the American robin, and the only curculio he ever found in any of these was a single one in a whole cherry which the bird had bolted entire. Robins had proved very destructive to his grapes, but had not assisted at all in protecting his cabbages growing alongside his fruit garden. These vegetables were nearly destroyed by the larvae of the cabbage fly, which would have afforded the birds many fine, rich meals. This comparatively feeble insect has been allowed by the throngs of birds to spread over the whole continent. A naturalist in one of the Western States had examined several species of the thrush, and found they had eaten mostly that class of insects known as our friends.
Prof. S. spoke of the remedies for root lice, among which were hot water and bisulphide of carbon. Hot water will get cold before it can reach the smaller roots, however efficient it may be showered on leaves. Bisulphide of carbon is very volatile, inflammable, and sometimes explosive, and must be handled with great care. It permeates the soil, and if in sufficient quantity may be effective in destroying the phylloxera; but its cost and dangerous character prevent it from being generally recommended.
Paris green is most generally useful for destroying insects. As sold to purchasers, it is of various grades of purity. The highest in price is commonly the purest, and really the cheapest. A difficulty with this variable quality is that it cannot be properly diluted with water, and those who buy and use a poor article and try its efficacy, will burn or kill their plants when they happen to use a stronger, purer, and more efficient one. Or, if the reverse is done, they may pronounce it a humbug from the resulting failure. One teaspoonful, if pure, is enough for a large pail of water; or if mixed with flour, there should be forty or fifty times as much. Water is best, as the operator will not inhale the dust. London purple is another form of the arsenic, and has very variable qualities of the poison, being merely refuse matter from manufactories. It is more soluble than Paris green, and hence more likely to scorch plants. On the whole, Paris green is much the best and most reliable for common use.
At the close of Prof. Saunders' remarks some objections were made by members present to the use of Paris green on fruit soon after blossoming, and Prof. S. sustained the objection, in that the knowledge that the fruit had been showered with it would deter purchasers from receiving it, even if no poison could remain on it from spring to autumn. A man had brought to him potatoes to analyze for arsenic, on which Paris green had been used, and although it was shown to him that the poison did not reach the roots beneath the soil, and if it did it was insoluble and could not enter them, he was not satisfied until a careful analysis was made and no arsenic at all found in them. A member said that in mixing with plaster there should be 100 or 150 pounds of plaster to one of the Paris green, and that a smaller quantity, by weight, of flour would answer, as that is a more bulky article for the same weight.
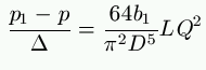
During the most of the present year, the writers have been engaged in the study of the fishes of the Pacific coast of the United States, in the interest of the U.S. Fish Commission and the U.S. Census Bureau. The following pages contain the principal facts ascertained concerning the salmon of the Pacific coast. It is condensed from our report to the U.S. Census Bureau, by permission of Professor Goode, assistant in charge of fishery investigations.
There are five species of salmon (Oncorhynchus) in the waters of the North Pacific. We have at present no evidence of the existence of any more on either the American or the Asiatic side.
These species may be called the quinnat or king salmon, the blue-back salmon or red-fish, the silver salmon, the dog salmon, and the hump-back salmon, or Oncorhynchus chouicha, nerka, kisutch, keta, and gorbuscha. All these species are now known to occur in the waters of Kamtschatka as well as in those of Alaska and Oregon.
As vernacular names of definite application, the following are on record:
a. Quinnat--Chouicha, king salmon, e'quinna, saw-kwey, Chinnook salmon, Columbia River salmon, Sacramento salmon, tyee salmon, Monterey salmon, deep-water salmon, spring salmon, ek-ul-ba ("ekewan") (fall run).
b. Blue-bock--krasnaya ryba, Alaska red-fish, Idaho red fish, sukkegh, Frazer's River salmon, rascal, oo-chooy-ha.
c. Silver salmon--kisutch, winter salmon, hoopid, skowitz, coho, bielaya ryba, o-o-wun.
d. Dog salmon--kayko, lekai, ktlawhy, qualoch, fall salmon, o-le-a-rah. The males of all the species in the fall are usually known as dog salmon, or fall salmon.
e. Hump-back--gorbuscha, haddo, hone, holia, lost salmon, Puget Sound salmon, dog salmon (of Alaska).
Of these species, the blue-back predominates in Frazer's River, the silver salmon in Puget Sound, the quinnat in the Columbia and the Sacramento, and the silver salmon in most of the small streams along the coast. All the species have been seen by us in the Columbia and in Frazer's River; all but the blue-back in the Sacramento, and all but the blue-back in waters tributary to Puget Sound. Only the quinnat has been noticed south of San Francisco, and its range has been traced as far as Ventura River, which is the southernmost stream in California which is not muddy and alkaline at its mouth.
Of these species, the quinnat and blue-back salmon habitually "run" in the spring, the others in the fall. The usual order of running in the rivers is as follows: nerka, chouicha, kisutch, gorbuscha, keta.
The economic value of the spring running salmon is far greater than that of the other species, because they can be captured in numbers when at their best, while the others are usually taken only after deterioration.
The habits of the salmon in the ocean are not easily studied. Quinnat and silver salmon of every size are taken with the seine at almost any season in Puget Sound. The quinnat takes the hook freely in Monterey bay, both near the shore and at a distance of six or eight miles out. We have reason to believe that these two species do not necessarily seek great depths, but probably remain not very far from the mouth of the rivers in which they were spawned.
The blue-back and the dog salmon probably seek deeper water, as the former is seldom or never taken with the seine in the ocean, and the latter is known to enter the Straits of Fuca at the spawning season.
The great majority of the quinnat salmon and nearly all blue-back salmon enter the rivers in the spring. The run of both begins generally the last of March; it lasts, with various modifications and interruptions, until the actual spawning season in November; the time of running and the proportionate amount of each of the subordinate runs, varying with each different river. In general, the runs are slack in the summer and increase with the first high water of autumn. By the last of August only straggling blue-backs can be found in the lower course of any stream, but both in the Columbia and the Sacramento the quinnat runs in considerable numbers till October at least. In the Sacramento the run is greatest in the fall, and more run in the summer than in spring. In the Sacramento and the smaller rivers southward, there is a winter run, beginning in December.
The spring salmon ascend only those rivers which are fed by the melting snows from the mountains, and which have sufficient volume to send their waters well out to sea. Such rivers are the Sacramento, Rogue, Klamath, Columbia, and Frazer's rivers.
Those salmon which run in the spring are chiefly adults (supposed to be at least three years old). Their milt and spawn are no more developed than at the same time in others of the same species which will not enter the rivers until fall. It would appear that the contact with cold fresh water, when in the ocean, in some way caused them to turn toward it and to "run," before there is any special influence to that end exerted by the development of the organs of generation.
High water on any of these rivers in the spring is always followed by an increased run of salmon. The canners think, and this is probably true, that salmon which would not have run till later are brought up by the contact with the cold water. The cause of this effect of cold fresh water is not understood. We may call it an instinct of the salmon, which is another way of expressing our ignorance. In general, it seems to be true that in those rivers and during those years when the spring run is greatest, the fall run is least to be depended on.
As the season advances, smaller and younger salmon of these two species (quinnat and blue-back) enter the rivers to spawn, and in the fall these young specimens are very numerous. We have thus far failed to notice any gradations in size or appearance of these young fish by which their ages could be ascertained. It is, however, probable that some of both sexes reproduce at the age of one year. In Frazer's River, in the fall, quinnat male grilse of every size, from eight inches upward, were running, the milt fully developed, but usually not showing the hooked jaws and dark colors of the older males. Females less than eighteen inches in length were rare. All, large and small, then in the river, of either sex, had the ovaries or milt well developed.
Little blue-backs of every size down to six inches are also found in the Upper Columbia in the fall, with their organs of generation fully developed. Nineteen twentieths of these young fish are males, and some of them have the hooked jaws and red color of the old males.
The average weight of the quinnat in the Columbia in the spring is twenty-two pounds; in the Sacramento about sixteen. Individuals weighing from forty to sixty pounds are frequently found in both rivers, and some as high as eighty pounds are reported. It is questioned whether these large fishes are:
(a.) Those which, of the same age, have grown more rapidly;
(b.) Those which are older but have, for some reason, failed to spawn; or,
(c.) Those which have survived one or more spawning seasons.
All of these origins may be possible in individual cases; we are, however, of the opinion that the majority of these large fish are those which have hitherto run in the fall and so may have survived the spawning season previous.
Those fish which enter the rivers in the spring continue their ascent until death or the spawning season overtakes them. Probably none of them ever return to the ocean, and a large proportion fail to spawn. They are known to ascend the Sacramento as far as the base of Mount Shasta, or to its extreme head-waters, about four hundred miles. In the Columbia they are known to ascend as far as the Bitter Root Mountains, and as far as the Spokan Falls, and their extreme limit is not known. This is a distance of six to eight hundred miles.
At these great distances, when the fish have reached the spawning grounds, besides the usual changes of the breeding season, their bodies are covered with bruises on which patches of white fungus develop. The fins become mutilated, their eyes are often injured or destroyed; parasitic worms gather in their gills, they become extremely emaciated, their flesh becomes white from the loss of the oil, and as soon as the spawning act is accomplished, and sometimes before, all of them die. The ascent of the Cascades and the Dalles probably causes the injury or death of a great many salmon.
When the salmon enter the river they refuse bait, and their stomachs are always found empty and contracted. In the rivers they do not feed, and when they reach the spawning grounds their stomachs, pyloric coeca and all, are said to be no larger than one's finger. They will sometimes take the fly, or a hook baited with salmon roe, in the clear waters of the upper tributaries, but there is no other evidence known to us that they feed when there. Only the quinnat and blue-back (then called red-fish) have been found in the fall at any great distance from the sea.
The spawning season is probably about the same for all the species. It varies for all in different rivers and in different parts of the same river, and doubtless extends from July to December.
The manner of spawning is probably similar for all the species, but we have no data for any except the quinnat. In this species the fish pair off, the male, with tail and snout, excavates a broad shallow "nest" in the gravelly bed of the stream, in rapid water, at a depth of one to four feet; the female deposits her eggs in it, and after the exclusion of the milt, they cover them with stones and gravel. They then float down the stream tail foremost. A great majority of them die. In the head-waters of the large streams all die, unquestionably. In the small streams, and near the sea, an unknown percentage probably survive. The young hatch in about sixty days, and most of them return to the ocean during the high water of the spring.
The salmon of all kinds in the spring are silvery, spotted or not according to the species, and with the mouth about equally symmetrical in both sexes.
As the spawning season approaches the female loses her silvery color, becomes more slimy, the scales on the back partly sink into the skin, and the flesh changes from salmon red and becomes variously paler, from the loss of the oil, the degree of paleness varying much with individuals and with inhabitants of different rivers.
In the lower Sacramento the flesh of the quinnat in either spring or fall is rarely pale. In the Columbia, a few with pale flesh are sometimes taken in spring, and a good many in the fall. In Frazer's River the fall run of the quinnat is nearly worthless for canning purposes, because so many are white meated. In the spring very few are white meated, but the number increases towards fall, when there is every variation, some having red streaks running through them, others being red toward the head and pale toward the tail. The red and pale ones cannot be distinguished externally, and the color is dependent neither on age nor sex. There is said to be no difference in the taste, but there is no market for canned salmon not of the conventional orange color.
As the season advances, the differences between the males and the females become more and more marked, and keep pace with the development of the milt, as is shown by dissection.
The males have: (a.) The premaxillaries and the tip of the lower jaw more and more prolonged; both of them becoming finally strongly and often extravagantly hooked, so that either they shut by the side of each other like shears, or else the mouth cannot be closed. (b.) The front teeth become very long and canine-like, their growth proceeding very rapidly, until they are often half an inch long. (c.) The teeth on the vomer and tongue often disappear. (d.) The body grows more compressed and deeper at the shoulders, so that a very distinct hump is formed; this is more developed in 0. gorbuscha, but is found in all. (e.) The scales disappear, especially on the back, by the growth of spongy skin. (f.) The color changes from silvery to various shades of black and red or blotchy, according to the species. The blue-back turns rosy red, the dog salmon a dull, blotchy red, and the quiunat generally blackish.
These distorted males are commonly considered worthless, rejected by the canners and salmon-salters, but preserved by the Indians. These changes are due solely to influences connected with the growth of the testes. They are not in any way due to the action of fresh water. They take place at about the same time in the adult males of all species, whether in the ocean or in the rivers. At the time of the spring runs all are symmetrical. In the fall, all males of whatever species are more or less distorted. Among the dog salmon, which run only in the fall, the males are hooked-jawed and red-blotched when they first enter the Straits of Fuca from the outside. The hump-back, taken in salt water about Seattle, shows the same peculiarities. The male is slab-sided, hook-billed, and distorted, and is rejected by the canners. No hook-jawed females of any species have been seen.
It is not positively known that any hook-jawed male survives the reproductive act. If any do, their jaws must resume the normal form.
On first entering a stream the salmon swim about as if playing: they always head toward the current, and this "playing" may be simply due to facing the flood tide. Afterwards they enter the deepest parts of the stream and swim straight up, with few interruptions. Their rate of travel on the Sacramento is estimated by Stone at about two miles per day; on the Columbia at about three miles per day.
As already stated, the economic value of any species depends in great part on its being a "spring salmon." It is not generally possible to capture salmon of any species in large numbers until they have entered the rivers, and the spring salmon enter the rivers long before the growth of the organs of reproduction has reduced the richness of the flesh. The fall salmon cannot be taken in quantity until their flesh has deteriorated: hence the "dog salmon" is practically almost worthless, except to the Indians, and the hump-back salmon is little better. The silver salmon, with the same breeding habits as the dog salmon, is more valuable, as it is found in Puget Sound for a considerable time before the fall rains cause the fall runs, and it may be taken in large numbers with seines before the season for entering the rivers. The quinnat salmon, from its great size and abundance, is more valuable than all other fishes on our Pacific coast together. The blue back, similar in flesh but much smaller and less abundant, is worth much more than the combined value of the three remaining species.
The fall salmon of all species, but especially the dog salmon, ascend streams but a short distance before spawning. They seem to be in great anxiety to find fresh water, and many of them work their way up little brooks only a few inches deep, where they soon perish miserably, floundering about on the stones. Every stream, of whatever kind, has more or less of these fall salmon.
It is the prevailing impression that the salmon have some special instinct which leads them to return to spawn in the same spawning grounds where they were originally hatched. We fail to find any evidence of this in the case of the Pacific coast salmon, and we do not believe it to be true. It seems more probable that the young salmon, hatched in any river, mostly remain in the ocean within a radius of twenty, thirty, or forty miles of its mouth. These, in their movements about in the ocean, may come into contact with the cold waters of their parent rivers, or perhaps of any other river, at a considerable distance from the shore. In the case of the quinnat and the blue-back, their "instinct" leads them to ascend these fresh waters, and in a majority of cases these waters will be those in which the fishes in question were originally spawned. Later in the season the growth of the reproductive organs leads them to approach the shore and to search for fresh waters, and still the chances are that they may find the original stream. But undoubtedly many fall salmon ascend, or try to ascend, streams in which no salmon was ever hatched.
It is said of the Russian River and other California rivers, that their mouths in the time of low water in summer generally become entirely closed by sand bars, and that the salmon, in their eagerness to ascend them, frequently fling themselves entirely out of water on the beach. But this does not prove that the salmon are guided by a marvelous geographical instinct which leads them to their parent river. The waters of Russian River soak through these sand bars, and the salmon "instinct," we think, leads them merely to search for fresh waters.
This matter is much in need of further investigation; at present, however, we find no reason to believe that the salmon enter the Rogue River simply because they were spawned there, or that a salmon hatched in the Clackamas River is any the more likely on that account to return to the Clackamas than to go up the Cowlitz or the Deschutes.
"At the hatchery on Rogue River, the fish are stripped, marked and set free, and every year since the hatchery has been in operation some of the marked fish have been re-caught. The young fry are also marked, but none of them have been recaught."
This year the run of silver salmon in Frazer's River was very light, while on Puget Sound the run was said by the Indians to be greater than ever known before. Both these cases may be due to the same cause, the dry summer, low water, and consequent failure of the salmon to find the rivers. The run in the Sound is much more irregular than in the large rivers. One year they will abound in one bay and its tributary stream and hardly be seen in another, while the next year the condition will be reversed. At Cape Flattery the run of silver salmon for the present year was very small, which fact was generally attributed by the Indians to the birth of twins at Neah Bay.
In regard to the diminution of the number of salmon on the coast. In Puget's Sound, Frazer's River, and the smaller streams, there appears to be little or no evidence of this. In the Columbia River the evidence appears somewhat conflicting; the catch during the present year (1880) has been considerably greater than ever before (nearly 540,000 cases of 48 lb. each having been packed), although the fishing for three or four years has been very extensive. On the other hand, the high water of the present spring has undoubtedly caused many fish to become spring salmon which would otherwise have run in the fall. Moreover, it is urged that a few years ago, when the number caught was about half as great as now, the amount of netting used was perhaps one-eighth as much. With a comparatively small outfit the canners caught half the fish, now with nets much larger and more numerous, they catch them all, scarcely any escaping during the fishing season (April 1 to August 1). Whether an actual reduction in the number of fish running can be proven or not, there can be no question that the present rate of destruction of the salmon will deplete the river before many years. A considerable number of quinnat salmon run in August and September, and some stragglers even later; these now are all which keep up the supply of fish in the river. The non-molestation of this fall run, therefore, does something to atone for the almost total destruction of the spring run.
This, however, is insufficient. A well-ordered salmon hatchery is the only means by which the destruction of the salmon in the river can be prevented. This hatchery should be under the control of Oregon and Washington, and should be supported by a tax levied on the canned fish. It should be placed on a stream where the quinnat salmon actually come to spawn.
It has been questioned whether the present hatchery on the Clackamas River actually receives the quinnat salmon in any numbers. It is asserted, in fact, that the eggs of the silver salmon and dog salmon, with scattering quinnat, are hatched there. We have no exact information as to the truth of these reports, but the matter should be taken into serious consideration.
On the Sacramento there is no doubt of the reduction of the number of salmon; this is doubtless mainly attributable to over-fishing, but in part it may be due to the destruction of spawning beds by mining operations and other causes.
As to the superiority of the Columbia River salmon, there is no doubt that the quinnat salmon average larger and fatter in the Columbia than in the Sacramento and in Puget Sound. The difference in the canned fish is, however, probably hardly appreciable. The canned salmon from the Columbia, however, bring a better price in the market than those from elsewhere. The canners there generally have had a high regard for the reputation of the river, and have avoided canning fall fish or species other than the quinnat. In the Frazer's River the blue-back is largely canned, and its flesh being a little more watery and perhaps paler, is graded below the quinnat. On Puget Sound various species are canned; in fact, everything with red flesh. The best canners on the Sacramento apparently take equal care with their product with those of the Columbia, but they depend largely on the somewhat inferior fall run. There are, however, sometimes salmon canned in San Francisco, which have been in the city markets, and for some reason remaining unsold, have been sent to the canners; such salmon are unfit for food, and canning them should be prohibited.
The fact that the hump-back salmon runs only on alternate years in Puget Sound (1875, 1877, 1879, etc.) is well attested and at present unexplained. Stray individuals only are taken in other years. This species has a distinct "run," in the United States, only in Puget Sound, although individuals (called "lost salmon") are occasionally taken in the Columbia and in the Sacramento.--American Naturalist.
[Footnote: A lecture by Dr. O. J. Lodge, delivered at the London Institution on December 16, 1880.]
Ever since the subject on which I have the honor to speak to you to-night was arranged, I have been astonished at my own audacity in proposing to deal in the course of sixty minutes with a subject so gigantic and so profound that a course of sixty lectures would be quite inadequate for its thorough and exhaustive treatment.
I must indeed confine myself carefully to some few of the typical and most salient points in the relation between electricity and light, and I must economize time by plunging at once into the middle of the matter without further preliminaries.
Now, when a person is setting off to discuss the relation between electricity and light, it is very natural and very proper to pull him up short with the two questions: What do you mean by electricity? and What do you mean by light? These two questions I intend to try briefly to answer. And here let me observe that in answering these fundamental questions, I do not necessarily assume a fundamental ignorance on your part of these two agents, but rather the contrary; and must beg you to remember that if I repeat well-known and simple experiments before you, it is for the purpose of directing attention to their real meaning and significance, not to their obvious and superficial characteristics; in the same way that I might repeat the exceedingly familiar experiment of dropping a stone to the earth if we were going to define what we meant by gravitation.
Now, then, we will ask first, What is electricity? and the simple answer must be, We don't know. Well, but this need not necessarily be depressing. If the same question were asked about matter, or about energy, we should have likewise to reply, No one knows.
But then the term Matter is a very general one, and so is the term Energy. They are heads, in fact, under which we classify more special phenomena.
Thus, if we were asked, What is sulphur? or what is selenium? we should at least be able to reply, A form of matter; and then proceed to describe its properties, i. e., how it affected our bodies and other bodies.
Again, to the question, What is heat? we can reply, A form of energy; and proceed to describe the peculiarities which distinguish it from other forms of energy.
But to the question. What is electricity? we have no answer pat like this. We can not assert that it is a form of matter, neither can we deny it; on the other hand, we certainly can not assert that it is a form of energy, and I should be disposed to deny it. It may be that electricity is an entity per se, just as matter is an entity per se.
Nevertheless, I can tell you what I mean by electricity by appealing to its known behavior.
Here is a battery, that is, an electricity pump; it will drive electricity along. Prof. Ayrtou is going, I am afraid, to tell you, on the 20th of January next, that it produces electricity; but if he does, I hope you will remember that that is exactly what neither it nor anything else can do. It is as impossible to generate electricity in the sense I am trying to give the word, as it is to produce matter. Of course I need hardly say that Prof. Ayrton knows this perfectly well; it is merely a question of words, i. e., of what you understand by the word electricity.
I want you, then, to regard this battery and all electrical machines and batteries as kinds of electricity pumps, which drive the electricity along through the wire very much as a water-pump can drive water along pipes. While this is going on the wire manifests a whole series of properties, which are called the properties of the current.
[Here were shown an ignited platinum wire, the electric arc between two carbons, an electric machine spark, an induction coil spark, and a vacuum tube glow. Also a large nail was magnetized by being wrapped in the current, and two helices were suspended and seen to direct and attract each other.]
To make a magnet, then, we only need a current of electricity flowing round and round in a whirl. A vortex or whirlpool of electricity is in fact a magnet; and vice versa. And these whirls have the power of directing and attracting other previously existing whirls according to certain laws, called the laws of magnetism. And, moreover, they have the power of exciting fresh whirls in neighboring conductors, and of repelling them according to the laws of diamagnetism. The theory of the actions is known, though the nature of the whirls, as of the simple stream of electricity, is at present unknown.
[Here was shown a large electro-magnet and an induction-coil vacuum discharge spinning round and round when placed in its field.]
So much for what happens when electricity is made to travel along conductors, i. e., when it travels along like a stream of water in a pipe, or spins round and round like a whirlpool.
But there is another set of phenomena, usually regarded as distinct and of another order, but which are not so distinct as they appear, which manifest themselves when you join the pump to a piece of glass, or any non-conductor, and try to force the electricity through that. You succeed in driving some through, but the flow is no longer like that of water in an open pipe; it is as if the pipe were completely obstructed by a number of elastic partitions or diaphragms. The water can not move without straining and bending these diaphragms, and if you allow it, these strained partitions will recover themselves, and drive the water back again. [Here was explained the process of charging a Leyden jar.] The essential thing to remember is that we may have electrical energy in two forms, the static and the kinetic; and it is, therefore, also possible to have the rapid alternation from one of these forms to the other, called vibration.
Now we will pass to the second question: What do you mean by light? And the first and obvious answer is, Everybody knows. And everybody that is not blind does know to a certain extent. We have a special sense organ for appreciating light, whereas we have none for electricity. Nevertheless, we must admit that we really know very little about the intimate nature of light--very little more than about electricity. But we do know this, that light is a form of energy, and, moreover, that it is energy rapidly alternating between the static and the kinetic forms--that it is, in fact, a special kind of energy of vibration. We are absolutely certain that light is a periodic disturbance in some medium, periodic both in space and time; that is to say, the same appearances regularly recur at certain equal intervals of distance at the same time, and also present themselves at equal intervals of time at the same place; that in fact it belongs to the class of motions called by mathematicians undulatory or wave motions. The wave motion in this model (Powell's wave apparatus) results from the simple up and down motion popularly associated with the term wave. But when a mathematician calls a thing a wave he means that the disturbance is represented by a certain general type of formula, not that it is an up-and-down motion, or that it looks at all like those things on the top of the sea. The motion of the surface of the sea falls within that formula, and hence is a special variety of wave motion, and the term wave has acquired in popular use this signification and nothing else. So that when one speaks ordinarily of a wave or undulatory motion, one immediately thinks of something heaving up and down, or even perhaps of something breaking on the shore. But when we assert that the form of energy called light is undulatory, we by no means intend to assert that anything whatever is moving up and down, or that the motion, if we could see it, would be anything at all like what we are accustomed to in the ocean. The kind of motion is unknown; we are not even sure that there is anything like motion in the ordinary sense of the word at all.
Now, how much connection between electricity and light have we perceived in this glance into their natures? Not much, truly. It amounts to about this: That on the one hand electrical energy may exist in either of two forms--the static form, when insulators are electrically strained by having had electricity driven partially through them (as in the Leyden jar), which strain is a form of energy because of the tendency to discharge and do work; and the kinetic form, where electricity is moving bodily along through conductors or whirling round and round inside them, which motion of electricity is a form of energy, because the conductors and whirls can attract or repel each other and thereby do work.
And, on the other hand, that light is the rapid alternation of energy from one of these forms to the other--the static form where the medium is strained, to the kinetic form when it moves. It is just conceivable, then, that the static form of the energy of light is electro static, that is, that the medium is electrically strained, and that the kinetic form of the energy of light is electro-kinetic, that is, that the motion is not ordinary motion, but electrical motion--in fact, that light is an electrical vibration, not a material one.
On November 5, last year, there died at Cambridge a man in the full vigor of his faculties--such faculties as do not appear many times in a century--whose chief work has been the establishment of this very fact, the discovery of the link connecting light and electricity; and the proof--for I believe it amounts to a proof--that they are different manifestations of one and the same class of phenomena--that light is, in fact, an electro-magnetic disturbance. The premature death of James Clerk-Maxwell is a loss to science which appears at present utterly irreparable, for he was engaged in researches that no other man can hope as yet adequately to grasp and follow out; but fortunately it did not occur till he had published his book on "Electricity and Magnetism," one of those immortal productions which exalt one's idea of the mind of man, and which has been mentioned by competent critics in the same breath as the "Principia" itself.
But it is not perfect like the "Principia;" much of it is rough-hewn, and requires to be thoroughly worked out. It contains numerous misprints and errata, and part of the second volume is so difficult as to be almost unintelligible. Some, in fact, consists of notes written for private use and not intended for publication. It seems next to impossible now to mature a work silently for twenty or thirty years, as was done by Newton two and a half centuries ago. But a second edition was preparing, and much might have been improved in form if life had been spared to the illustrious author.
The main proof of the electro-magnetic theory of light is this: The rate at which light travels has been measured many times, and is pretty well known. The rate at which an electro-magnetic wave disturbance would travel if such could be generated (and Mr. Fitzgerald, of Dublin, thinks he has proved that it can not be generated directly by any known electrical means) can be also determined by calculation from electrical measurements. The two velocities agree exactly. This is the great physical constant known as the ratio V, which so many physicists have been measuring, and are likely to be measuring for some time to come.
Many and brilliant as were Maxwell's discoveries, not only in electricity, but also in the theory of the nature of gases, and in molecular science generally, I can not help thinking that if one of them is more striking and more full of future significance than the rest, it is the one I have just mentioned--the theory that light is an electrical phenomenon.
The first glimpse of this splendid generalization was caught in 1845, five and thirty years ago, by that prince of pure experimentalists, Michael Faraday. His reasons for suspecting some connection between electricity and light are not clear to us--in fact, they could not have been clear to him; but he seems to have felt a conviction that if he only tried long enough and sent all kinds of rays of light in all possible directions across electric and magnetic fields in all sorts of media, he must ultimately hit upon something. Well, this is very nearly what he did. With a sublime patience and perseverance which remind one of the way Kepler hunted down guess after guess in a different field of research, Faraday combined electricity, or magnetism, and light in all manner of ways, and at last he was rewarded with a result. And a most out-of-the-way result it seemed. First, you have to get a most powerful magnet and very strongly excite it; then you have to pierce its two poles with holes, in order that a beam of light may travel from one to the other along the lines of force; then, as ordinary light is no good, you must get a beam of plane polarized light, and send it between the poles. But still no result is obtained until, finally, you interpose a piece of a rare and out-of-the-way material, which Faraday had himself discovered and made--a kind of glass which contains borate of lead, and which is very heavy, or dense, and which must be perfectly annealed.
And now, when all these arrangements are completed, what is seen is simply this, that if an analyzer is arranged to stop the light and make the field quite dark before the magnet is excited, then directly the battery is connected and the magnet called into action, a faint and barely perceptible brightening of the field occurs, which will disappear if the analyzer be slightly rotated. [The experiment was then shown.] Now, no wonder that no one understood this result. Faraday himself did not understand it at all. He seems to have thought that the magnetic lines of force were rendered luminous, or that the light was magnetized; in fact, he was in a fog, and had no idea of its real significance. Nor had any one. Continental philosophers experienced some difficulty and several failures before they were able to repeat the experiment. It was, in fact, discovered too soon, and before the scientific world was ready to receive it, and it was reserved for Sir William Thomson briefly, but very clearly, to point out, and for Clerk-Maxwell more fully to develop, its most important consequences. [The principle of the experiment was then illustrated by the aid of a mechanical model.]
This is the fundamental experiment on which Clerk-Maxwell's theory of light is based; but of late years many fresh facts and relations between electricity and light have been discovered, and at the present time they are tumbling in in great numbers.
It was found by Faraday that many other transparent media besides heavy glass would show the phenomenon if placed between the poles, only in a less degree; and the very important observation that air itself exhibits the same phenomenon, though to an exceedingly small extent, has just been made by Kundt and Rontgen in Germany.
Dr. Kerr, of Glasgow, has extended the result to opaque bodies, and has shown that if light be passed through magnetized iron its plane is rotated. The film of iron must be exceedingly thin, because of its opacity, and hence, though the intrinsic rotating power of iron is undoubtedly very great, the observed rotation is exceedingly small and difficult to observe; and it is only by a very remarkable patience and care and ingenuity that Dr. Kerr has obtained his result. Mr. Fitzgerald, of Dublin, has examined the question mathematically, and has shown that Maxwell's theory would have enabled Dr. Kerr's result to be predicted.
Another requirement of the theory is that bodies which are transparent to light must be insulators or non-conductors of electricity, and that conductors of electricity are necessarily opaque to light. Simple observation amply confirms this; metals are the best conductors, and are the most opaque bodies known. Insulators such as glass and crystals are transparent whenever they are sufficiently homogeneous, and the very remarkable researches of Prof. Graham Bell in the last few months have shown that even ebonite, one of the most opaque insulators to ordinary vision, is certainly transparent to some kinds of radiation, and transparent to no small degree.
[The reason why transparent bodies must insulate, and why conductors must be opaque, was here illustrated by mechanical models.]
A further consequence of the theory is that the velocity of light in a transparent medium will be affected by its electrical strain constant; in other words, that its refractive index will bear some close but not yet quite ascertained relation to its specific inductive capacity. Experiment has partially confirmed this, but the confirmation is as yet very incomplete. But there are a number of results not predicted by theory, and whose connection with the theory is not clearly made out. We have the fact that light falling on the platinum electrode of a voltameter generates a current, first observed, I think, by Sir W. R. Grove--at any rate, it is mentioned in his "Correlation of Forces"--extended by Becquerel and Robert Sabine to other substances, and now being extended to fluorescent and other bodies by Prof. Minchin. And finally--for I must be brief--we have the remarkable action of light on selenium. This fact was discovered accidentally by an assistant in the laboratory of Mr. Willoughby Smith, who noticed that a piece of selenium conducted electricity very much better when light was falling upon it than when it was in the dark. The light of a candle is sufficient, and instantaneously brings down the resistance to something like one-fifth of its original value.
I could show you these effects, but there is not much to see; it is an intensely interesting phenomenon, but its external manifestation is not striking--any more than Faraday's heavy glass experiment was.
This is the phenomenon which, as you know, has been utilized by Prof. Graham Bell in that most ingenious and striking invention, the photophone. By the kindness of Prof. Silvanus Thompson, I have a few slides to show the principle of the invention, and Mr. Shelford Bidwell has been kind enough to lend me his home-made photophone, which answers exceedingly well for short distances.
I have now trespassed long enough upon your patience, but I must just allude to what may very likely be the next striking popular discovery; and that is the transmission of light by electricity; I mean the transmission of such things as views and pictures by means of the electric wire. It has not yet been done, but it seems already theoretically possible, and it may very soon be practically accomplished.
During the last six years Dr. Warren de la Rue has been investigating, in conjunction with Dr. Hugo Muller, the various and highly interesting phenomena which accompany the electric discharge. From time to time the results of their researches were communicated to the Royal Society, and appeared in its Proceedings. Early last year Dr. De la Rue being requested to bring the subject before the members of the Royal Institution, acceded to the pressing invitation of his colleagues and scientific friends. The discourse, which was necessarily long postponed on account of the preparations that had to be made, was finally given on Friday, the 21st of January, and was one of the most remarkable, from the elaborate nature of the experiments, ever delivered in the theater of that deservedly famous institution.
Owing to the great inconvenience of removing the battery from his laboratory, Dr. de la Rue, despite the great expenditure, directed Mr. S. Tisley to prepare, expressly for the lecture, a second series of 14,400 cells, and fit it up in the basement of the Royal Institution. The construction of this new battery occupied Mr. Tisley a whole year, while the charging of it extended over a fortnight.
The "de la Rue cell," if we may so call one of these elements, consists of a zinc rod, the lower portion of which is embedded in a solid electrolyte, viz., chloride of silver, with which are connected two flattened silver wires to serve as electrodes. When these are united and the silver chloride moistened, chemical action begins, and a weak but constant current is generated.
The electromotive force of such a cell is 1.03 volts, and a current equivalent to one volt passing through a resistance of one ohm was found to decompose 0.00146 grain of water in one second. The battery is divided into "cabinets," which hold from 1,200 to 2,160 small elements each. This facilitates removal, and also the detection of any fault that may occur.
It will be remembered that in 1808 Sir Humphry Davy constructed his battery of 2,000 cells, and thus succeeded in exalting the tiny spark obtained in closing the circuit into the luminous sheaf of the voltaic arc. He also observed that the spark passed even when the poles were separated by a distance varying from 1/40 to 1/30 of an inch. This appears to have been subsequently forgotten, as we find later physicists questioning the possibility of the spark leaping over any interpolar distance. Mr. J. P. Gassiot, of Clapham, demonstrated the inaccuracy of this opinion by constructing a battery of 3,000 Leclanché cells, which gave a spark of 0.025 inch; a similar number of "de la Rue" cells gives an 0.0564 inch spark. This considerable increase in potential is chiefly due to better insulation.
The great energy of this battery was illustrated by a variety of experiments. Thus, a large condenser, specially constructed by Messrs. Varley, and having a capacity equal to that of 6,485 large Leyden jars, was almost immediately charged by the current from 10,000 cells. Wires of various kinds, and from 9 inches to 29 inches in length, were instantly volatilized by the passage of the electricity thus stored up. The current induced in the secondary wire of a coil by the discharge of the condenser through the primary, was also sufficiently intense to deflagrate wires of considerable length and thickness.
It was with such power at his command that Dr. De la Rue proceeded to investigate several important electrical laws. He has found, for example, that the positive discharge is more intermittent than the negative, that the arc is always preceded by a streamer-like discharge, that its temperature is about 16,000 deg., and its length at the ordinary pressure of the atmosphere, when taken between two points, varies as the square of the number of cells. Thus, with a battery of 1,000 cells, the arc was 0.0051 inch, with 11,000 cells it increased to 0.62 inch. The same law was found to hold when the discharge took place between a point and a disk; it failed entirely, however, when the terminals were two disks.
It was also shown that the voltaic arc is not a phenomenon of conduction, but is essentially a disruptive discharge, the intervals between the passage of two successive static sparks being the time required for the battery to collect sufficient power to leap over the interposed resistance. This was further confirmed by the introduction of a condenser, when the intervals were perceptibly larger.
Faraday proved that the quantity of electricity necessary to produce a strong flash of lightning would result from the decomposition of a single grain of water, and Dr. de la Rue's experiments confirm this extraordinary statement. He has calculated that this quantity of electricity would be 5,000 times as great as the charge of his large condenser, and that a lightning flash a mile long would require the potential of 3,500,000 cells, that is to say, of 243 of his powerful batteries.
In experimenting with "vacuum" tubes, he has found that the discharge is also invariably disruptive. This is an important point, as many physicists speak and write of the phenomenon as one of conduction. Air, in every degree of tenuity, refuses to act as a conductor of electricity. These experiments show that the resistance of gaseous media diminishes with the pressure only up to a certain point, beyond which it rapidly increases. Thus, in the case of hydrogen, it diminishes up to 0.642 mm., 845 millionths; it then rises as the exhaustion proceeds, and at 0.00065 mm., 8.6 millionths, it requires as high a potential as at 21.7 mm., 28.553 millionths. At 0.00137 mm., 1.8 millionth, the current from 11,000 cells would not pass through a tube for which 430 cells sufficed at the pressure of minimum resistance. At a pressure of 0.0055 mm., 0.066 millionth, the highest exhaust obtained in any of the experiments, even a one-inch spark from an induction coil refused to pass. It was also ascertained that there is neither condensacian nor dilatation of the gas in contact with the terminals prior to the passage of the discharge.
These researches naturally led to some speculation about the conditions under which auroral phenomena may occur. Observers have variously stated the height at which the aurora borealis attains its greatest brilliancy as ranging between 124 and 281 miles. Dr. de la Rue's conclusions fix the upper limit at 124 miles, and that of maximum display at 37 miles, admitting also that the aurora may sometimes occur at an altitude of a few thousand feet.
The aurora was beautifully illustrated by a very large tube, in which the theoretical pressure was carefully maintained, the characteristic roseate tinge being readily produced and maintained.
In studying the stratifications observed in vacuum tubes, Dr. de la Rue finds that they originate at the positive pole, and that their steadiness may be regulated by the resistance in circuit, and that even when the least tremor cannot be detected by the eye, they are still produced by rapid pulsations which may be as frequent as ten millions per second.
Dr. de la Rue concluded his interesting discourse by exhibiting some of the finest tubes of his numerous and unsurpassed collection.--Engineering
Coulomb's torsion balance has been adapted by M. Baille to the measurement of low electromotive forces in a very successful manner, and has been found preferable by him to the delicate electrometers of Sir W. Thomson. It is necessary to guard it from disturbances due to extraneous electric influences and the trembling of the ground. These can be eliminated completely by encircling the instrument in a metal case connected to earth, and mounting it on solid pillars in a still place. Heat also has a disturbing effect, and makes itself felt in the torsion of the fiber and the cage surrounding the lever. These effects are warded off by inclosing the instrument in a non-conducting jacket of wood shavings.
The apparatus of M. Baille consists of an annealed silver torsion wire of 2.70 meters long, and a lever 0.50 meter long, carrying at each extremity a ball of copper, gilded, and three centimeters in diameter. Similar balls are fixed at the corners of a square 20.5 meters in the side, and connected in diagonal pairs by fine wire. The lever placed at equal distances from the fixed balls communicates, by the medium of the torsion wire, with the positive pole of a battery, P, the other pole being to earth.
Owing to some unaccountable variations in the change of the lever or needle, M. Baille was obliged to measure the change at each observation. This was done by joining the + pole of the battery to the needle, and one pair of the fixed balls, and observing the deflection; then the deflection produced by the other balls was observed. This operation was repeated several times.
The battery, X, to be measured consisted of ten similar elements, and one pole of it was connected to the fixed balls, while the other pole was connected to the earth. The needle, of course, remained in contact with the + pole of the charging battery, P.
The deflections were read from a clear glass scale, placed at a distance of 3.30 meters from the needle, and the results worked out from Coulomb's static formula,
, with 
In M. Baillie's experiments, O = 437³, and Σpr²= 32171.6 (centimeter grammes), the needle having been constructed of a geometrical form.
The following numbers represent the potential of an element of the battery--that is to say, the quantity of electricity that the pole of that battery spreads upon a sphere of one centimeter radius. They are expressed in units of electricity, the unit being the quantity of electricity which, acting upon a similar unit at a distance of one centimeter, produces a repulsion equal to one gramme:
Volta pile 0.03415 open circuit. Zinc, sulphate of copper, copper 0.02997 " Zinc, acidulated water, copper, sulphate of copper 0.03709 " Zinc, salt water, carbon peroxide of manganese 0.05282 " Zinc, salt water, platinum, chloride of platinum 0.05027 " Zinc, acidulated water, carbon nitric acid 0.06285 "
These results were obtained just upon charging the batteries, and are, therefore, slightly higher than the potentials given after the batteries became older. The sulphate of copper cells kept about their maximum value longest, but they showed variations of about 10 per cent.
While in telephonic arrangements, based upon the principle of magnetic induction, a relatively considerable expenditure of force is required in order to set the tightly stretched membrane in vibration, in the so-called carbon telephones only a very feeble impulse is required to produce the differences in the current necessary for the transmission of sounds. In order to produce relatively strong currents, even in case of sound-action of a minimum strength, Franz Kröttlinger, of Vienna, has made an interesting experiment to use thermo electric currents for the transmission of sound to a distance. The apparatus which he has constructed is exceedingly simple. A current of hot air flowing from below upward is deflected more or less from its direction by the human voice. By its action an adjacent thermo-battery is excited, whose current passes through the spiral of an ordinary telephone, which serves as the receiving instrument. As a source of heat the inventor uses a common stearine candle, the flame of which is kept at one and the same level by means of a spring similar to those used in carriage lamps. On one side of the candle is a sheet metal voice funnel fixed upon a support, its mouth being covered with a movable sliding disk, fitted with a suitable number of small apertures. On the other side a similar support holds a funnel-shaped thermo-battery. The single bars of metal forming this battery are very thin, and of such a shape that they may cool as quickly as possible. Both the speaking-funnel and the battery can be made to approach, at will, to the stream of warm air rising up from the flame. The entire apparatus is inclosed in a tin case in such a manner that only the aperture of the voice-funnel and the polar clamps for securing the conducting wires appear on the outside. The inside of the case is suitably stayed to prevent vibration. On speaking into the mouth-piece of the funnel, the sound-waves occasion undulations in the column of hot air which are communicated to the thermo-battery, and in this manner corresponding differences are produced in the currents in the wires leading to the receiving instrument.--Oesterreichische-Ungarische Post.
This apparatus, which is intended to transmit to a distance through a telegraphic wire pictures taken on the plate of a camera, was invented in the early part of 1877 by M. Senlecq, of Ardres. A description of the first specification submitted by M. Senlecq to M. du Moncel, member of the Paris Academy of Sciences, appeared in all the continental and American scientific journals. Since then the apparatus has everywhere occupied the attention of prominent electricians, who have striven to improve on it. Among these we may mention MM. Ayrton, Perry, Sawyer (of New York), Sargent (of Philadelphia), Brown (of London), Carey (of Boston), Tighe (of Pittsburg), and Graham Bell himself. Some experimenters have used many wires, bound together cable-wise, others one wire only. The result has been, on the one hand, confusion of conductors beyond a certain distance, with the absolute impossibility of obtaining perfect insulation; and, on the other hand, an utter want of synchronism. The unequal and slow sensitiveness of the selenium likewise obstructed the proper working of the apparatus. Now, without a relative simplicity in the arrangement of the conducting wires intended to convey to a distance the electric current with its variations of intensity, without a perfect and rapid synchronism acting concurrently with the luminous impressions, so as to insure the simultaneous action of transmitter and receiver, without, in fine, an increased sensitiveness in the selenium, the idea of the telectroscope could not be realized. M. Senlecq has fortunately surmounted most of these main obstacles, and we give to-day a description of the latest apparatus he has contrived.
A brass plate, A, whereon the rays of light impinge inside a camera, in their various forms and colors, from the external objects placed before the lens, the said plate being coated with selenium on the side intended to face the dark portion of the camera This brass plate has its entire surface perforated with small holes as near to one another as practicable. These holes are filled with selenium, heated, and then cooled very slowly, so as to obtain the maximum sensitiveness. A small brass wire passes through the selenium in each hole, without, however, touching the plate, on to the rectangular and vertical ebonite plate, B, Fig. 1, from under this plate at point, C. Thus, every wire passing through plate, A, has its point of contact above the plate, B, lengthwise. With this view the wires are clustered together when leaving the camera, and thence stretch to their corresponding points of contact on plate, B, along line, C C. The surface of brass, A, is in permanent contact with the positive pole of the battery (selenium). On each side of plate, B, are let in two brass rails, D and E, whereon the slide hereinafter described works.
Fig. 1
Rail, E, communicates with the line wire intended to conduct the various light and shade vibrations. Rail, D, is connected with the battery wire. Along F are a number of points of contact corresponding with those along C C. These contacts help to work the apparatus, and to insure the perfect isochronism of the transmitter and receiver. These points of contact, though insulated one from the other on the surface of the plate, are all connected underneath with a wire coming from the positive pole of a special battery. This apparatus requires two batteries, as, in fact, do all autographic telegraphs--one for sending the current through the selenium, and one for working the receiver, etc. The different features of this important plate may, therefore, be summed up thus:
FIGURE 1.
D. Brass rail, grooved and connected with the line wire working the receiver.
F. Contacts connected underneath with a wire permanently connected with battery.
C. Contacts connected to insulated wires from selenium.
E. Brass rail, grooved, etc., like D.
A small slide, Fig. 2, having at one of its angles a very narrow piece of brass, separated in the middle by an insulating surface, used for setting the apparatus in rapid motion. This small slide has at the points, D D, a small groove fitting into the brass rails of plate, B, Fig. 1, whereby it can keep parallel on the two brass rails, D and E. Its insulator, B, Fig. 2, corresponds to the insulating interval between F and C, Fig. 1.
A, Fig. 3, circular disk, suspended vertically (made of ebonite or other insulating material). This disk is fixed. All round the inside of its circumference are contacts, connected underneath with the corresponding wires of the receiving apparatus. The wires coming from the seleniumized plate correspond symmetrically, one after the other, with the contacts of transmitter. They are connected in the like order with those of disk, A, and with those of receiver, so that the wire bearing the No. 5 from the selenium will correspond identically with like contact No. 5 of receiver.
D, Fig. 4, gutta percha or vulcanite insulating plate, through which pass numerous very fine platinum wires, each corresponding at its point of contact with those on the circular disk, A.
The receptive plate must be smaller than the plate whereon the light impinges. The design being thus reduced will be the more perfect from the dots formed by the passing currents being closer together.
B, zinc or iron or brass plate connected to earth. It comes in contact with chemically prepared paper, C, where the impression is to take place. It contributes to the impression by its contact with the chemically prepared paper.
In E, Fig. 3, at the center of the above described fixed plate is a metallic axis with small handle. On this axis revolves brass wheel, F, Fig. 5.

FIG. 2
On handle, E, presses continuously the spring, H, Fig. 3, bringing the current coming from the selenium line. The cogged wheel in Fig. 5 has at a certain point of its circumference the sliding spring, O, Fig. 5, intended to slide as the wheel revolves over the different contacts of disk, A, Fig. 3.
This cogged wheel, Fig. 5, is turned, as in the dial telegraphs, by a rod working in and out under the successive movements of the electro-magnet, H, and of the counter spring. By means of this rod (which must be of a non-metallic material, so as not to divert the motive current), and of an elbow lever, this alternating movement is transmitted to a catch, G, which works up and down between the cogs, and answers the same purpose as the ordinary clock anchor.
FIG. 3
This cogged wheel is worked by clockwork inclosed between two disks, and would rotate continuously were it not for the catch, G, working in and out of the cogs. Through this catch, G, the wheel is dependent on the movement of electro-magnet. This cogged wheel is a double one, consisting of two wheels coupled together, exactly similar one with the other, and so fixed that the cogs of the one correspond with the void between the cogs of the others. As the catch, G, moves down it frees a cog in first wheel, and both wheels begin to turn, but the second wheel is immediately checked by catch, G, and the movement ceases. A catch again works the two wheels, turn half a cog, and so on. Each wheel contains as many cogs as there are contacts on transmitter disk, consequently as many as on circular disk, A, Fig. 3, and on brass disk within camera.
FIG. 4
FIG. 5
Having now described the several parts of the apparatus, let us see how it works. All the contacts correspond one with the other, both on the side of selenium current and that of the motive current. Let us suppose that the slide of transmitter is on contact No. 10 for instance; the selenium current starting from No. 10 reaches contact 10 of rectangular transmitter, half the slide bearing on this point, as also on the parallel rail, communicates the current to said rail, thence to line, from the line to axis of cogged wheel, from axis to contact 10 of circular fixed disk, and thence to contact 10 of receiver. At each selenium contact of the rectangular disk there is a corresponding contact to the battery and electro-magnet. Now, on reaching contact 10 the intermission of the current has turned the wheel 10 cogs, and so brought the small contact, O, Fig. 5, on No. 10 of the fixed circular disk.
As may be seen, the synchronism of the apparatus could not be obtained in a more simple and complete mode--the rectangular transmitter being placed vertically, and the slide being of a certain weight to its fall from the first point of contact sufficient to carry it rapidly over the whole length of this transmitter.
The picture is, therefore, reproduced almost instantaneously; indeed, by using platinum wires on the receiver connected with the negative pole, by the incandescence of these wires according to the different degrees of electricity we can obtain a picture, of a fugitive kind, it is true, but yet so vivid that the impression on the retina does not fade during the relatively very brief space of time the slide occupies in traveling over all the contacts. A Ruhmkorff coil may also be employed for obtaining sparks in proportion to the current emitted. The apparatus is regulated in precisely the same way as dial telegraphs, starting always from first contact. The slide should, therefore, never be removed from the rectangular disk, whereon it is held by the grooves in the brass rails, into which it fits with but slight friction, without communicating any current to the line wires when not placed on points of contact.
[Continued from SUPPLEMENT No. 274, page 4368.]
[Footnote: A paper lately read before the Institution of Mechanical Engineers.]
But allowing that the figure of 22 H. P., assumed for this power (the result in calculating the work with compressed air being 19 H. P.) may be somewhat incorrect, it is unlikely that this error can be so large that its correction could reduce the efficiency below 80 per cent. Messrs. Sautter and Lemonnier, who construct a number of compressors, on being consulted by the author, have written to say that they always confined themselves in estimating the power stored in the compressed air, and had never measured the gross power expended. Compressed air in passing along the pipe, assumed to be horizontal, which conveys it from the place of production to the place where it is to be used, experiences by friction a diminution of pressure, which represents a reduction in the mechanical power stored up, and consequently a loss of efficiency.
The loss of pressure in question can only be calculated
conveniently on the hypothesis that it is very small, and the
general formula,
, is employed for
the purpose, where D is the diameter of the pipe, assumed to be
uniform, L the length of the pipe, p1 the pressure at
the entrance, p the pressure at the farther end, u the velocity at
which the compressed air travels, Δ its specific weight, and
f(u) the friction per unit of length. In proportion as the air
loses pressure its speed increases, while its specific weight
diminishes; but the variations in pressure are assumed to be so
small that u and Δ may be considered constant. As regards the
quantity f(u), or the friction per unit of length, the natural law
which regulates it is not known, audit can only be expressed by
some empirical formula, which, while according sufficiently nearly
with the facts, is suited for calculation. For this purpose the
binomial formula, au + bu², or the simple formula,
b1 u², is generally adopted; a b and b1
being coefficients deduced from experiment. The values, however,
which are to be given to these coefficients are not constant, for
they vary with the diameter of the pipe, and in particular,
contrary to formerly received ideas, they vary according to its
internal surface. The uncertainty in this respect is so great that
it is not worth while, with a view to accuracy, to relinquish the
great convenience which the simple formula, b1 u²,
offers. It would be better from this point of view to endeavor, as
has been suggested, to render this formula more exact by the
substitution of a fractional power in the place of the square,
rather than to go through the long calculations necessitated by the
use of the binomial au + bu². Accordingly, making use of the
formula b1 u², the above equation becomes,
; or, introducing
the discharge per second, Q, which is the usual figure supplied,
and which is connected with the velocity by the relation,
, we have
.
Generally the pressure, p1, at the entrance is known,
and the pressure, p, has to be found; it is then from p1
that the values of Q and Δ are calculated. In experiments
where p1 and p are measured directly, in order to arrive
at the value of the coefficient b1, Q and Δ would
be calculated for the mean pressure ½(p1 + p).
The values given to the coefficient b1 vary
considerably, because, as stated above, it varies with the
diameter, and also with the nature of the material of the pipe. It
is generally admitted that it is independent of the pressure, and
it is probable that within certain limits of pressure this
hypothesis is in accordance with the truth.
D'Aubuisson gives for this case, in his Traité d'Hydraulique, a rather complicated formula, containing a constant deduced from experiment, whose value, according to a calculation made by the author, is approximately b1 = 0.0003. This constant was determined by taking the mean of experiments made with tin tubes of 0.0235 meter (15/16 in.), 0.05 meter (2 in.), and 0.10 meter (4 in.) diameter; and it was erroneously assumed that it was correct for all diameters and all substances.
M. Arson, engineer to the Paris Gas Company, published in 1867, in the Mémoires de la Société des Ingénieurs Civils de France, the results of some experiments on the loss of pressure in gas when passing through pipes. He employed cast-iron pipes of the ordinary type. He has represented the results of his experiments by the binomial formula, au + bu², and gives values for the coefficients a and b, which diminish with an increase in diameter, but would indicate greater losses of pressure than D'Aubuisson's formula. M. Deviller, in his Rapport sur les travaux de percement du tunnel sous les Alpes, states that the losses of pressure observed in the air pipe at the Mont Cenis Tunnel confirm the correctness of D'Aubuisson's formula; but his reasoning applies to too complicated a formula to be absolutely convincing.
Quite recently M. E. Stockalper, engineer-in-chief at the
northern end of the St. Gothard Tunnel, has made some experiments
on the air conduit of this tunnel, the results of which he has
kindly furnished to the author. These lead to values for the
coefficient b1 appreciably less than that which is
contained implicitly in D'Aubuisson's formula. As he experimented
on a rising pipe, it is necessary to introduce into the formula the
difference of level, h, between the two ends; it then becomes
.
The following are the details of the experiments: First series of
experiments: Conduit consisting of cast or wrought iron pipes,
joined by means of flanges, bolts, and gutta percha rings. D = 0.20
m. (8 in.); L = 4,600 m. (15,100 ft,); h= 26.77 m. (87 ft. 10 in.).
1st experiment: Q = 0.1860 cubic meter (6.57 cubic feet), at a
pressure of ½(p1 + p), and a temperature of
22° Cent. (72° Fahr.); p1 = 5.60 atm., p =5.24
atm. Hence p1 - p = 0.36 atm.= 0.36 x 10,334 kilogrammes
per square meter (2.116 lb. per square foot), whence we obtain
b1=0.0001697. D'Aubuisson's formula would have given
p1 - p = 0.626 atm.; and M. Arson's would have given
p1 - p = 0.9316 atm. 2d experiment: Q = 0.1566 cubic
meter (5.53 cubic feet), at a pressure of ½(p1 +
p), and a temperature of 22° Cent. (72° Fahr.);
p1 = 4.35 atm., p = 4.13 atm. Hence p1 - p =
0.22 atm. = 0.22 X 10,334 kilogrammes per square meter (2,116 lb.
per square foot); whence we obtain b1 = 0.0001816.
D'Aubuisson's formula would have given p1 - p = 0.347
atm; and M. Arson's would have given p1 - p = 0.5382
atm. 3d experiment: Q = 0.1495 cubic meter (5.28 cubic feet) at a
pressure of ½(p1 + p) and a temperature 22°
Cent. (72º Fahr.); p1 = 3.84 atm., p = 3.65 atm.
Hence p1 - p = 0.19 atm. = 0.19 X 10,334 kilogrammes per
square meter (2.116 lb. per square foot); whence we obtain
B1 = 0.0001966. D'Aubuisson's formula would have given
p1 - p = 0.284 atm., and M. Arson's would have given
p1 - p = 0.4329 atm. Second series of experiments:
Conduit composed of wrought-iron pipes, with joints as in the first
experiments. D = 0.15 meter (6 in.), L - 0.522 meters (1,712 ft.),
h = 3.04 meters (10 ft.) 1st experiments: Q = 0.2005 cubic meter
(7.08 cubic feet), at a pressure of ½(p1 + p),
and a temperature of 26.5° Cent. (80° Fahr.); p1
= 5.24 atm., p = 5.00 atm. Hence p1 - p = 0.24 atm.
=0.24 x 10,334 kilogrammes per square meter (2,116 lb. per square
foot); whence we obtain b1 = 0.3002275. 2nd experiment:
Q = 0.1586 cubic meter (5.6 cubic feet), at a pressure of
½(p1 + p), and a temperature of 26.5° Cent.
(80° Fahr.); p1 = 3.650 atm., p = 3.545 atm. Hence
p1 - p = 0.105 atm. = 0.105 x 10,334 kilogrammes per
square meter (2,116 lb. per square foot); whence we obtain
b1 = 0.0002255. It is clear that these experiments give
very small values for the coefficient. The divergence from the
results which D'Aubuisson's formula would give is due to the fact
that his formula was determined with very small pipes. It is
probable that the coefficients corresponding to diameters of 0.15
meter (6 in.) and 0.20 meter (8 in.) for a substance as smooth as
tin, would be still smaller respectively than the figures obtained
above.
The divergence from the results obtained by M. Arson's formula does not arise from a difference in size, as this is taken into account. The author considers that it may be attributed to the fact that the pipes for the St. Gothard Tunnel were cast with much greater care than ordinary pipes, which rendered their surface smoother, and also to the fact that flanged joints produce much less irregularity in the internal surface than the ordinary spigot and faucet joints.
Lastly, the difference in the methods of observation and the errors which belong to them, must be taken into account. M. Stockalper, who experimented on great pressures, used metallic gauges, which are instruments on whose sensibility and correctness complete reliance cannot be placed; and moreover the standard manometer with which they were compared was one of the same kind. The author is not of opinion that the divergence is owing to the fact that M. Stockalper made his observations on an air conduit, where the pressure was much higher than in gas pipes. Indeed, it may be assumed that gases and liquids act in the same manner; and, as will be [1] explained later on, there is reason to believe that with the latter a rise of pressure increases the losses of pressure instead of diminishing them.
[Transcribers note 1: corrected from 'as will we explained']
All the pipes for supplying compressed air in tunnels and in headings of mines are left uncovered, and have flanged joints; which are advantages not merely as regards prevention of leakage, but also for facility of laying and of inspection. If a compressed air pipe had to be buried in the ground the flanged joint would lose a part of its advantages; but, nevertheless, the author considers that it would still be preferable to the ordinary joint.
It only remains to refer to the motors fed with the compressed air. This subject is still in its infancy from a practical point of view. In proportion as the air becomes hot by compression, so it cools by expansion, if the vessel containing it is impermeable to heat. Under these conditions it gives out in expanding a power appreciably less than if it retained its original temperature; besides which the fall of temperature may impede the working of the machine by freezing the vapor of water contained in the air.
If it is desired to utilize to the utmost the force stored up in the compressed air it is necessary to endeavor to supply heat to the air during expansion so as to keep its temperature constant. It would be possible to attain this object by the same means which prevent heating from compression, namely, by the circulation and injection of water. It would perhaps be necessary to employ a little larger quantity of water for injection, as the water, instead of acting by virtue both of its heat of vaporization and of its specific heat, can in this case act only by virtue of the latter. These methods might be employed without difficulty for air machines of some size. It would be more difficult to apply them to small household machines, in which simplicity is an essential element; and we must rest satisfied with imperfect methods, such as proximity to a stove, or the immersion of the cylinder in a tank of water. Consequently loss of power by cooling and by incomplete expansion cannot be avoided. The only way to diminish the relative amount of this loss is to employ compressed air at a pressure not exceeding three or four atmospheres.
The only real practical advance made in this matter is M. Mékarski's compressed air engine for tramways. In this engine the air is made to pass through a small boiler containing water at a temperature of about 120° Cent. (248° Fahr.), before entering the cylinder of the engine. It must be observed that in order to reduce the size of the reservoirs, which are carried on the locomotive, the air inside them must be very highly compressed; and that in going from the reservoir into the cylinder it passes through a reducing valve or expander, which keeps the pressure of admission at a definite figure, so that the locomotive can continue working so long as the supply of air contained in the reservoir has not come down to this limiting pressure. The air does not pass the expander until after it has gone through the boiler already mentioned. Therefore, if the temperature which it assumes in the boiler is 100° Cent. (212° Fahr.), and if the limiting pressure is 5 atm., the gas which enters the engine will be a mixture of air and water vapor at 100° Cent.; and of its total pressure the vapor of water will contribute I atm. and the air 4 atm. Thus this contrivance, by a small expenditure of fuel, enables the air to act expansively without injurious cooling, and even reduces the consumption of compressed air to an extent which compensates for part of the loss of power arising from the preliminary expansion which the air experiences before its admission into the engine. It is clear that this same contrivance, or what amounts to the same thing, a direct injection of steam, at a sufficient pressure, for the purpose of maintaining the expanding air at a constant temperature, might be tried in a fixed engine worked by compressed air with some chance of success.
Whatever method is adopted it would be advantageous that the
losses of pressure in the pipes connecting the compressors with the
motors should be reduced as much as possible, for in this case that
loss would represent a loss of efficiency. If, on the other hand,
owing to defective means of reheating, it is necessary to remain
satisfied with a small amount of expansion, the loss of pressure in
the pipe is unimportant, and has only the effect of transferring
the limited expansion to a point a little lower on the scale of
pressures. If W is the net disposable force on the shaft of the
engine which works the compressor, v1 the volume of air
at the compressor, p1. given by the compressor, and at
the temperature of the surrounding air, and p0 the
atmospheric pressure, the efficiency of the compressor, assuming
the air to expand according to Boyle's law, is given by the
well-known formula--
. Let
p2 be the value to which the pressure is reduced by the
loss of pressure at the end of the conduit, and v2 the
volume which the air occupies at this pressure and at the same
temperature; the force stored up in the air at the end of its
course through the conduit is p2 v2
log(p2/p0); consequently, the efficiency of
the conduit is
, a fraction that may be reduced to the simple form
, if there is no
leakage during the passage of the air, because in that cause
p2 v2 = p1 v1. Lastly,
if W1 is the net disposable force on the shaft of the
compressed air motor, the efficiency of this engine will be,
and the product of
these three partial efficiencies is equal to W1/W, the
general efficiency of the transmission.
III. Transmission by Pressure Water.--As transmission of power by compressed air has been specially applied to the driving of tunnels, so transmission by pressure water has been specially resorted to for lifting heavy loads, or for work of a similar nature, such as the operations connected with the manufacture of Bessemer steel or of cast-iron pipes. The author does not propose to treat of transmissions established for this special purpose, and depending on the use of accumulators at high pressure, as he has no fresh matter to impart on this subject, and as he believes that the remarkable invention of Sir William Armstrong was described for the first time, in the "Proceedings of the Institution of Mechanical Engineers." His object is to refer to transmissions applicable to general purposes.
The transmission of power by water may occur in another form. The motive force to be transmitted may be employed for working pumps which raise the water, not to a fictitious height in an accumulator, but to a real height in a reservoir, with a channel from this reservoir to distribute the water so raised among several motors arranged for utilizing the pressure. The author is not aware that works have been carried out for this purpose. However, in many towns a part of the water from the public mains serves to supply small motors--consequently, if the water, instead of being brought by a natural fall, has been previously lifted artificially, it might be said that a transmission of power is here grafted on to the ordinary distribution of water.
Unless a positive or negative force of gravity is introduced into the problem, independently of the force to be transmitted, the receivers of the water pressure must be assumed to be at the same level as the forcing pumps, or more correctly, the water discharged from the receivers to be at the same level as the surface of the water from which the pumps draw their supply. In this case the general efficiency of transmission is the product of three partial efficiencies, which correspond exactly to those mentioned with regard to compressed air. The height of lift, contained in the numerator of the fraction which expresses the efficiency of the pumps, is not to be taken as the difference in level between the surface of the water in the reservoir and the surface of the water whence the pumps draw their supply; but as this difference in level, plus the loss of pressure in the suction pipe, which is usually very short, and plus the loss in the channel to the reservoir, which may be very long. A similar loss of initial pressure affects the efficiency of the discharge channel. The reservoir, if of sufficient capacity, may become an important store of power, while the compressed air reservoir can only do so to a very limited extent.
Omitting the subject of the pumps, and passing on at once to the
discharge main, the author may first point out that the distinction
between the ascending and descending mains of the system is of no
importance, for two reasons: first, that nothing prevents the
motors being supplied direct from the first alone; and second, that
the one is not always distinct from the other. In fact, the
reservoir may be connected by a single branch pipe with the system
which goes from the pumps to the motors; it may even be placed at
the extreme end of this system beyond the motors, provided always
that the supply pipe is taken into it at the bottom. The same
formula may be adopted for the loss of initial pressure in water
pipes as for compressed air pipes, viz.,
;
h being the difference of level between the two ends of the portion
of conduit of length, L, and the sign + or - being used according
as the conduit rises or falls. The specific weight, δ, is
constant, and the quotients, p1/δ and p/δ,
represent the heights, z and z1, to which the water
could rise above the pipes, in vertical tubes branching from it, at
the beginning and end of the transit. The values assigned to the
coefficient b1 in France, are those determined by
D'Arcy. For new cast-iron pipes he gives b1 - 0.0002535
+ 1/D 0.000000647; and recommends that this value should be
doubled, to allow for the rust and incrustation which more or less
form inside the pipes during use. The determination of this
coefficient has been made from experiments where the pressure has
not exceeded four atmospheres; within these limits the value of the
coefficient, as is generally admitted, is independent of the
pressure. The experiments made by M. Barret, on the pressure pipes
of the accumulator at the Marseilles docks, seem to indicate that
the loss of pressure would be greater for high pressures,
everything else being equal. This pipe, having a diameter of 0.127
m. (5 in.), was subjected to an initial pressure of 52 atmospheres.
The author gives below the results obtained for a straight length
320 m. (1050 ft) long; and has placed beside them the results which
D'Arcy's formula would give.
Loss of head, in meters or ft. respectively
per 100 meters or ft. run of pipes.
+-----------------^-------------------+
| |
Calculated loss.
+-----------^-----------+
| |
Velocity of flow Actual loss
per second. observed. Old pipes. New pipes.
Meters. Feet. Met. or Ft. Met. or Ft. Met. or Ft.
0.25 0.82 1.5 0.12 0.06
0.50 1.64 2.5 0.48 0.24
0.75 2.46 3.7 1.08 0.54
1.00 3.28 5.5 1.92 0.96
1.25 4.10 6.1 3.00 1.50
1.50 4.92 7.3 4.32 2.16
1.75 5.74 8.0 5.88 2.94
2.00 6.56 10.2 7.68 3.84
2.25 7.38 11.7 9.72 4.86
2.50 8.20 14.0 12.00 6.00
Moreover, these results would appear to indicate a different law from that which is expressed by the formula b1 u2, as is easy to see by representing them graphically. It would be very desirable that fresh experiments should be made on water pipes at high pressure, and of various diameters. Of machines worked by water pressure the author proposes to refer only to two which appear to him in every respect the most practical and advantageous. One is the piston machine of M. Albert Schmid, engineer at Zurich. The cylinder is oscillating, and the distribution is effected, without an eccentric, by the relative motion of two spherical surfaces fitted one against the other, and having the axis of oscillation for a common axis. The convex surface, which is movable and forms part of the cylinder, serves as a port face, and has two ports in it communicating with the two ends of the cylinder. The concave surface, which is fixed and plays the part of a slide valve, contains three openings, the two outer ones serving to admit the pressure water, and the middle one to discharge the water after it has exerted its pressure. The piston has no packing. Its surface of contact has two circumferential grooves, which produce a sort of water packing acting by adhesion. A small air chamber is connected with the inlet pipe, and serves to deaden the shocks. This engine is often made with two cylinders, having their cranks at right angles.
The other engine, which is much less used, is a turbine on Girard's system, with a horizontal axis and partial admission, exactly resembling in miniature those which work in the hydraulic factory of St. Maur, near Paris. The water is introduced by means of a distributer, which is fitted in the interior of the turbine chamber, and occupies a certain portion of its circumference. This turbine has a lower efficiency than Schmid's machine, and is less suitable for high pressures; but it possesses this advantage over it, that by regulating the amount of opening of the distributer, and consequently the quantity of water admitted, the force can be altered without altering the velocity of rotation. As it admits of great speeds, it could be usefully employed direct, without the interposition of spur wheels or belts for driving magneto-electric machines employed for the production of light, for electrotyping, etc.
In compressed air machines the losses of pressure due to incomplete expansion, cooling, and waste spaces, play an important part. In water pressure machines loss does not occur from these causes, on account of the incompressibility of the liquid, but the frictions of the parts are the principal causes of loss of power. It would be advisable to ascertain whether, as regards this point, high or low pressures are the most advantageous. Theoretical considerations would lead the author to imagine that for a piston machine low pressures are preferable. In conclusion, the following table gives the efficiencies of a Girard turbine, constructed by Messrs. Escher Wyss & Co., of Zurich, and of a Schmid machine, as measured by Professor Fliegnor, in 1871:
ESCHER WYSS & CO'S TURBINE.
Effective Head of Water. Revolutions Efficiency.
per minute.
Meters. Feet. Revs. Per cent.
20.7 67.9 628 68.5
20.7 67.9 847 47.4
24.1 79.0 645 68.5
27.6 90.5 612 65.7
27.6 90.5 756 68.0
31.0 101.7 935 56.9
31.0 101.7 1,130 35.1
SCHMID MOTOR.
8.3 27.2 226 37.4
11.4 37.4 182 67.4
14.5 47.6 254 53.4
17.9 58.7 157 86.2
20.7 67.9 166 89.6
20.7 67.9 225 74.6
24.1 79.0 238 76.7
24.1 79.0 389 64.0
27.6 90.5 207 83.9
It will be observed that these experiments relate to low pressures; it would be desirable to extend them to higher pressures.
IV. Transmission by Electricity.--However high the efficiency of an electric motor may be, in relation to the chemical work of the electric battery which feeds it, force generated by an electric battery is too expensive, on account of the nature of the materials consumed, for a machine of this kind ever to be employed for industrial purposes. If, however, the electric current, instead of being developed by chemical work in a battery, is produced by ordinary mechanical power in a magneto-electric or dynamo-electric machine, the case is different; and the double transformation, first of the mechanical force into an electric current, and then of that current into mechanical force, furnishes a means for effecting the conveyance of the power to a distance.
It is this last method of transmission which remains to be discussed. The author, however, feels himself obliged to restrict himself in this matter to a mere summary; and, indeed, it is English physicists and engineers who have taken the technology of electricity out of the region of empiricism and have placed it on a scientific and rational basis. Moreover, they are also taking the lead in the progress which is being accomplished in this branch of knowledge, and are best qualified to determine its true bearings. When an electric current, with an intensity, i, is produced, either by chemical or mechanical work, in a circuit having a total resistance, R, a quantity of heat is developed in the circuit, and this heat is the exact equivalent of the force expended, so long as the current is not made use of for doing any external work. The expression for this quantity of heat, per unit of time, is Ai²R; A being the thermal equivalent of the unit of power corresponding to the units of current and resistance, in which i and R are respectively expressed. The product, i²R, is a certain quantity of power, which the author proposes to call power transformed into electricity. When mechanical power is employed for producing a current by means of a magneto-electric or dynamo-electric machine--or, to use a better expression, by means of a mechanical generator of electricity--it is necessary in reality to expend a greater quantity of power than i²R in order to make up for losses which result either from ordinary friction or from certain electro magnetic reactions which occur. The ratio of the quantity, i²R, to the power, W, actually expended per unit of time is called the efficiency of the generator. Designating it by K, we obtain, W = i²R/K. It is very important to ascertain the value of this efficiency, considering that it necessarily enters as a factor into the evaluation of all the effects to be produced by help of the generator in question. The following table gives the results of certain experiments made early in 1879, with a Gramme machine, by an able physicist, M Hagenbach, Professor at the University at Basle, and kindly furnished by him to the author:
Revolutions per minute 935 919.5 900.5 893
Total resistance in Siemens' units 2.55 3.82 4.94 6.06
Total resistance in absolute units 2.435 3.648 4.718 5.787 x10^9 x10^9 x10^9 x10^9
Intensity in chemical units 17.67 10.99 8.09 6.28
Intensity in absolute units 2.828 1.759 1.295 1.005
Work done i²R in absolute units 1948.6 1129.2 791.3 584.9 x10^7 x10^7 x10^7 x10^7
Work done i²R in kilogrammes 198.6 115.1 80.66 59.62
Power expended in kilogrammes 301.5 141.0 86.25 83.25
Efficiency, per cent. 65.9 81.6 93.5 71.6
M. Hagenbach's dynamometric measurements were made by the aid of a brake. After each experiment on the electric machine, he applied the brake to the engine which he employed, taking care to make it run at precisely the same speed, with the same pressure of steam, and with the same expansion as during experiment. It would certainly be better to measure the force expended during and not after the experiment, by means of a registering dynamometer. Moreover, M. Hagenbach writes that his measurements by means of the brake were very much prejudiced by external circumstances; doubtless this is the reason of the divergences between the results obtained.
About the same time Dr. Hopkinson communicated to this institution the results of some very careful experiments made on a Siemens machine. He measured the force expended by means of a registering dynamometer, and obtained very high coefficients of efficiency, amounting to nearly 90 per cent. M. Hagenbach also obtained from one machine a result only a little less than unity. Mechanical generators of electricity are certainly capable of being improved in several respects, especially as regards their adaptation to certain definite classes of work. But there appears to remain hardly any margin for further progress as regards efficiency. Force transformed into electricity in a generator may be expressed by i ω M C; ω being the angular velocity of rotation; M the magnetism of one of the poles, inducing or induced, which intervenes; and C a constant specially belonging to each apparatus, and which is independent of the units adopted. This constant could not be determined except by an integration practically impossible; and the product, M C, must be considered indivisible. Even in a magneto-electric machine (with permanent inducing magnets), and much more in a dynamo-electric machine (inducing by means of electro-magnets excited by the very current produced) the product, M C, is a function of the intensity. From the identity of the expressions, i²R and i ω M C we obtain the relation M C = IR/ω which indicates the course to be pursued to determine experimentally the law which connects the variations of M C with those of i. Some experiments made in 1876, by M. Hagenbach, on a Gramme dynamo-electric machine, appear to indicate that the magnetism, M C, does not increase indefinitely with the intensity, but that there is some maximum value for this quantity. If, instead of working a generator by an external motive force, a current is passed through its circuit in a certain given direction, the movable part of the machine will begin to turn in an opposite direction to that in which it would have been necessary to turn it in order to obtain a current in the aforesaid direction. In virtue of this motion the electro-magnetic forces which are generated may be used to overcome a resisting force. The machine will then work as a motor or receiver. Let i be the intensity of the external current which works the motor, when the motor is kept at rest. If it is now allowed to move, its motion produces, in virtue of the laws of induction, a current in the circuit of intensity, i1, in the opposite direction to the external current; the effective intensity of the current traversing the circuit is thus reduced to i - i1. The intensity of the counter current is given, like that of the generating current, by the equation, i12R = i1 ω1 M1 C1, or i1R = ω1 M1 C1, the index, 1, denoting the quantities relating to the motor. Here M1 C1 is a function of i - i1, not of i. As in a generator the force transformed into electricity has a value, i ω M C, so in a motor the force developed by electricity is (i - i1) ω1 M1 C1. On account, however, of the losses which occur, the effective power, that is the disposable power on the shaft of the motor, will have a smaller value, and in order to arrive at it a coefficient of efficiency, K1, must be added. We shall then have W1 = K1 (i-i1) ω1 M1 C1. The author has no knowledge of any experiments having been made for obtaining this efficiency, K1. Next let us suppose that the current feeding the motor is furnished by a generator, so that actual transmission by electricity is taking place. The circuit, whose resistance is R, comprises the coils, both fixed and movable, of the generator and motor, and of the conductors which connect them. The intensity of the current which traverses the circuit had the value, i, when the motor was at rest; by the working of the motor it is reduced to i - i1. The power applied to the generator is itself reduced to W-[(i-i1)ω M C]/K. The prime mover is relieved by the action of the counter current, precisely as the consumption of zinc in the battery would be reduced by the same cause, if the battery was the source of the current. The efficiency of the transmission is W1/W. Calculation shows that it is expressed by the following equations:W1/W = K K1 [(ω11 M1 C1)/(ω1 M C)], or = K K1 [(ω11 M1 C)/(ω11 M1 C1 + (i-i1) R)]; expressions in which it must be remembered M C and M1 C1 are really functions of (i-i1). This efficiency is, then, the product of three distinct factors, each evidently less than unity, namely, the efficiency belonging to the generator, the efficiency belonging to the motor, and a third factor depending on the rate of rotation of the motor and the resistance of the circuit. The influence which these elements exert on the value of the third factor cannot be estimated, unless the law is first known according to which the magnetisms, M C, M1 C C1, vary with the intensity of the current.
Casting a retrospective glance at the four methods of transmission of power which have been examined, it would appear that transmission by ropes forms a class by itself, while the three other methods combine into a natural group, because they possess a character in common of the greatest importance. It may be said that all three involve a temporary transformation of the mechanical power to be utilized into potential energy. Also in each of these methods the efficiency of transmission is the product of three factors or partial efficiencies, which correspond exactly--namely, first, the efficiency of the instrument which converts the actual energy of the prime mover into potential energy; second, the efficiency of the instrument which reconverts this potential energy into actual energy, that is, into motion, and delivers it up in this shape for the actual operations which accomplish industrial work; third, the efficiency of the intermediate agency which serves for the conveyance of potential energy from the first instrument to the second.
This last factor has just been given for transmission by electricity. It is the exact correlative of the efficiency of the pipe in the case of compressed air or of pressure water. It is as useful in the case of electric transmission, as of any other method, to be able, in studying the system, to estimate beforehand what results it is able to furnish, and for this purpose it is necessary to calculate exactly the factors which compose the efficiency.
In order to obtain this desirable knowledge, the author considers that the three following points should form the aim of experimentalists: First, the determination of the efficiency, K, of the principal kinds of magneto-electric, or dynamo-electric machines working as generators; second, the determination of the efficiency, K1, of the same machines working as motors; third, the determination of the law according to which the magnetism of the cores of these machines varies with the intensity of the current. The author is of opinion that experiments made with these objects in view would be more useful than those conducted for determining the general efficiency of transmission, for the latter give results only available under precisely similar conditions. However, it is clear that they have their value and must not be neglected.
There are, moreover, many other questions requiring to be elucidated by experiment, especially as regards the arrangement of the conducting wires: but it is needless to dwell further upon this subject, which has been ably treated by many English men of science--for instance, Dr. Siemens and Professor Ayrton. Nevertheless, for further information the author would refer to the able articles published at Paris, by M. Mascart, in the Journal de Physique, in 1877 and 1878. The author would gladly have concluded this paper with a comparison of the efficiencies of the four systems which have been examined, or what amounts to the same thing--with a comparison of the losses of power which they occasion. Unfortunately, such a comparison has never been made experimentally, because hitherto the opportunity of doing it in a demonstrative manner has been wanting, for the transmission of power to a distance belongs rather to the future than to the present time. Transmission by electricity is still in its infancy; it has only been applied on a small scale and experimentally.
Of the three other systems, transmission by means of ropes is the only one that has been employed for general industrial purposes, while compressed air and water under pressure have been applied only to special purposes, and their use has been due much more to their special suitableness for these purposes than from any considerations relative to loss of power. Thus the effective work of the compressed air used in driving the tunnels through the Alps, assuming its determination to be possible, was undoubtedly very low; nevertheless, in the present state of our appliances it is the only process by which such operations can be accomplished. The author believes that transmission by ropes furnishes the highest proportion of useful work, but that as regards a wide distribution of the transmitted power the other two methods, by air and water, might merit a preference.
The Hotchkiss revolving gun, already adopted in the French navy and by other leading European nations, has been ordered for use in the German navy by the following decree of the German Emperor, dated January 11 last: "On the report made to me, I approve the adoption of the Hotchkiss revolving cannon as a part of the artillery of my navy; and each of my ships, according to their classification, shall in general be armed with this weapon in such a manner that every point surrounding the vessel may be protected by the fire of at least two guns at a minimum range of 200 meters."
Schoene has given the results of an extended series of experiments on the use of thallium paper for estimating approximately the oxidizing material in the atmosphere, whether it be hydrogen peroxide alone, or mixed with ozone, or perhaps also with other constituents hitherto unknown. The objection to Schönbein's ozonometer (potassium iodide on starch paper) and to Houzeau's ozonometer (potassium iodide on red litmus paper) lies in the fact that their materials are hygroscopic, and their indications vary widely with the moisture of the air. Since dry ozone does not act on these papers, they must be moistened; and then the amount of moisture varies the result quite as much as the amount of ozone. Indeed, attention has been called to the larger amount of ozone near salt works and waterfalls, and the erroneous opinion advanced that ozone is formed when water is finely divided. And Böttger has stated that ozone is formed when ether is atomized; the fact being that the reaction he observed was due to the H2O2 always present in ether. Direct experiments with the Schönbein ozonometer and the psychrometer gave parallel curves; whence the author regards the former as only a crude hygrometer. These objections do not lie against the thallium paper, the oxidation to brown oxide by either ozone or hydrogen peroxide not requiring the presence of moisture, and the color, therefore, being independent of the hygrometric state of the air. Moreover, when well cared for, the papers undergo no farther change of color and may be preserved indefinitely. The author prepares the thallium paper a few days before use, by dipping strips of Swedish filtering paper in a solution of thallous hydrate, and drying. The solution is prepared by pouring a solution of thallous sulphate into a boiling solution of barium hydrate, equivalent quantities being taken, the resulting solution of thallous hydrate being concentrated in vacuo until 100 c.c. contains 10 grammes Tl(OH). For use the strips are hung in the free air in a close vessel, preferably over caustic lime, for twelve hours. Other papers are used, made with a two per cent. solution. These are exposed for thirty-six hours. The coloration is determined by comparison with a scale having eleven degrees of intensity upon it. Compared with Schönbein's ozonometer, the results are in general directly opposite. The thallium papers show that the greatest effect is in the daytime, the iodide papers that it is at night. Yearly curves show that the former generally indicate a rise when the latter give a fall. The iodide curve follows closely that of relative humidity, clouds, and rain; the thallium curve stands in no relation to it. A table of results for the year 1879 is given in monthly means, of the two thallium papers, the ozonometer, the relative humidity, cloudiness, rain, and velocity of wind.--G. F. B., in Ber. Berl. Chem. Ces.
The audiphone has been recently tried in the Board School for Deaf and Dumb at Turin street, Bethnal Green, with very satisfactory results--so satisfactory that the report will recommend its adoption in the four schools which the London Board have erected for the education of the deaf and dumb. Some 20 per cent. of the pupils in deaf and dumb schools have sufficient power of hearing when assisted by the audiphone to enable them to take their places in the classes of the ordinary schools.
Many physical treatises still assert that moist air conducts electricity, though Silberman and others have proved the contrary. An interesting experiment bearing on this has been described lately by Prof. Marangoni. Over a flame is heated some water in a glass jar, through the stopper of which passes a bent tube to bell-jar (held obliquely), which thus gets filled with aqueous vapor. The upper half of a thin Leyden jar charged is brought into the bell-jar, and held there four or five seconds; it is then found entirely discharged. That the real cause of this, however, is condensation of the vapor on the part of the glass that is not coated with tin foil (the liquid layer acting by conduction) can be proved; for if that part of the jar be passed several times rapidly through the flame, so as to heat it to near 100° C., before inserting in the bell-jar, a different effect will be had; the Leyden jar will give out long sparks after withdrawal. This is because the glass being heated no longer condenses the vapor on its surface, and there is no superficial conduction, as in the previous case.
Considerable attention has been given for some years past to the subject of floating pontoon docks by Mr. Robert Turnbull, naval architect, of South Shields, Eng., who has devised the ingenious arrangement which forms the subject of the annexed illustration. The end aimed at and now achieved by Mr. Turnbull was so to construct floating docks or pontoons that they may rise and fall in a berth, and be swung round at one end upon a center post or cylinder--nautically known as a dolphin--projecting from the ground at a slight distance from the berth. The cylinder is in deep water, and, when the pontoon is swung and sunk to the desired depth by letting in the necessary amount of water, a vessel can be floated in and then secured. The pontoon, with the vessel on it, is then raised by pumping out the contained water until she is a little above the level of the berth. The whole is then swung round over the berth, the vessel then being high and dry to enable repairs or other operations to be conducted. For this purpose, one end of the pontoon is so formed as to enable it to fit around the cylinder, and to be held to it as to a center or fulcrum, about which the pontoon can be swung. The pontoon is of special construction, and has air-chambers at the sides placed near the center, so as to balance it. It also has chambers at the ends, which are divided horizontally in order that the operation of submerging within a berth or in shallow water may be conducted without risk, the upper chambers being afterwards supplied with water to sink the pontoon to the full depth before a vessel is hauled in. When the ship is in place, the pontoon with her is then lifted above the level of the berth in which it has to be placed, and then swung round into the berth. In some cases, the pontoon is provided with a cradle, so that, when in berth, the vessel on the cradle can be hauled up a slip with rails arranged as a continuation of the cradle-rails of the pontoon, which can be then furnished with another cradle, and another vessel lifted.
It is this latter arrangement which forms the subject of our illustration, the vessel represented being of the following dimensions: Length between perpendiculars, 350 feet; breadth, moulded, 40 feet; depth, moulded, 32 feet; tons, B. M., 2,600; tons net, 2,000. At A, in fig. 1, is shown in dotted lines a portion of the vessel and pontoon, the ship having just been hauled in and centered over the keel blocks. At B, is shown the pontoon with the ship raised and swung round on to a low level quay. Going a step further in the operation, we see at C, the vessel hauled on to the slipways on the high-level quay. In this case the cylinder is arranged so that the vessel may be delivered on to the rails or slips, which are arranged radially, taking the cylinder as the center. There may be any number of slips so arranged, and one pontoon may be made available for several cylinders at the deep water parts of neighboring repairing or building yards, in which case the recessed portion of the pontoon, when arranged around the cylinder, has stays or retaining bars fitted to prevent it leaving the cylinder when the swinging is taking place, such as might happen in a tideway.
Fig. 1. IMPROVED FLOATING PONTOON DRY DOCK.
The arrangements for delivering vessels on radial slips is seen in plan at fig. 2, where A represents the river or deep water; B is the pontoon with the vessel; C being the cylinder or turning center; D is the low-level quay on to which the pontoon carrying the ship is first swung; E is the high-level quay with the slip-ways; F is an engine running on rails around the radial slips for drawing the vessels with the cradle off the pontoon, and hauling them up on to the high-level quay; and G shows the repairing shops, stores, and sheds. A pontoon attached to a cylinder may be fitted with an ordinary wet dock; and then the pontoon, before or after the vessel is upon it, can be slewed round to suit the slips up which the vessel has to be moved, supposing the slips are arranged radially. In this case, the pivot end of the pontoon would be a fixture, so to speak, to the cylinder.
The pontoon may also be made available for lifting heavy weights, by fitting a pair of compound levers or other apparatus at one end, the lifting power being in the pontoon itself. In some cases, in order to lengthen the pontoon, twenty-five or fifty foot lengths are added at the after end. When not thus engaged, those lengths form short pontoons suitable for small vessels.--Iron.
Some few years since, Mr. Harrison Weir (whose drawings of natural history are known probably to a wider circle of the general public than the works of most artists), wishing to pursue his favorite study of animals and horticulture, erected on the steep hillside of the road leading from Paddock Wood to Brenchley, a small "cottage ornée" with detached studio. Afterward desiring more accommodation, he carried out the buildings shown in our illustrations. Advantage has been taken of the slope of the hill on one side, and the rising ground in the rear on the other, to increase the effect of the buildings and meet the difficulty of the levels. The two portions--old, etched, and new, shown as black--are connected together by a handsome staircase, which is carried up in the tower, and affords access to the various levels. The materials are red brick, with Bathstone dressings, and weather-tiling on the upper floors. Black walnut, pitch pine, and sequoias have been used in the staircase, and joiner's work to the principal rooms. The principal stoves are of Godstone stone only, no iron or metal work being used. The architects are Messrs. Wadmore & Baker, of 35 Great St. Helens, E.C.; the builders, Messrs. Penn Brothers, of Pembury, Kent.--Building News.
ARTISTS HOMES
NO 11
"WEIRLEIGH"
BRENCHLEY, KENT.
THE RESIDENCE OF
HARRISON WEIR ESQ'RE
WADMORE & BAKER
ARCHITECTS
[Footnote: Read before the Philadelphia County Medical Society, May 12, 1880, by W. G. A. Bonwill, M.D., D.D.S., Philadelphia.]
Through the kind invitation of your directors, I am present to give you the history of "rapid breathing" as an analgesic agent, as well as my experience therein since I first discovered it. It is with no little feeling of modesty that I appear before such a learned and honorable body of physicians and surgeons, and I accept the privilege as a high compliment. I trust the same liberal spirit which prompted you to call this subject to the light of investigation will not forsake you when you have heard all I have to say and you sit in judgment thereon. Sufficient time has now elapsed since the first promulgation of the subject for the shafts of ridicule to be well nigh spent (which is the common logic used to crush out all new ideas), and it is to be expected that gentlemen will look upon it with all the charity of a learned body, and not be too hasty to condemn what they have had but little chance to investigate; and, of course, have not practiced with that success which can only come from an intelligent understanding of its application and modus operandi.
Knowing the history of past discoveries, I was well prepared for the crucible. I could not hope to be an exception. But, so far, the medical profession have extended me more favor than I have received at the hands of the dental profession.
My first conception of the analgesic property of a pain obtunder in contradistinction to its anaesthetic effect, which finally led to the discovery of the inhalation of common air by "rapid breathing," was in 1855 or 1856, while performing upon my own teeth certain operations which gave me intense pain (and I could not afford to hurt myself) without a resort to ether and chloroform. These agents had been known so short a time that no one was specially familiar with their action. Without knowing whether I could take chloroform administered by myself, and at the same time perform with skill the excavation of extremely sensitive dentine or tooth-bone, as if no anaesthetic had been taken, and not be conscious of pain, was more than the experience of medical men at that time could assure me. But, having a love for investigation of the unknown, I prepared myself for the ordeal. By degrees I took the chloroform until I began to feel very plainly its primary effects, and knowing that I must soon be unconscious, I applied the excavator to the carious tooth, and, to my surprise, found no pain whatever, but the sense of touch and hearing were marvelously intensified. The small cavity seemed as large as a half bushel; the excavator more the size of an ax; and the sound was equally magnified. That I might not be mistaken, I repeated the operation until I was confident that anaesthetics possessed a power not hitherto known--that of analgesia. To be doubly certain, I gave it in my practice, in many cases with the same happy results, which saved me from the risks incident to the secondary effects of anaesthetics, and which answered for all the purposes of extracting from one to four teeth. Not satisfied with any advance longer than I could find a better plan, I experimented with the galvanic current (to and fro) by so applying the poles that I substituted a stronger impression by electricity from the nerve centers or ganglia to the peripheries than was made from the periphery to the brain. This was so much of a success that I threw aside chloroform and ether in removing the living nerve of a tooth with instruments instead of using arsenic; and for excavating sensitive caries in teeth, preparatory to filling, as well as many teeth extracted by it. But this was short-lived, for it led to another step. Sometimes I would inflict severe pain in cases of congested pulps or from its hasty application, or pushing it to do too much, when my patient invariably would draw or inhale the breath very forcibly and rapidly. I was struck with the repeated coincidence, and was led to exclaim: "Nature's anaesthetic." This then reminded me of boyhood's bruises. The involuntary action of every one who has a finger hurt is to place it to the mouth and draw violently in the air and hold it for an instant, and again repeat it until the pain is subdued. The same action of the lungs occurs, except more powerfully, in young children who take to crying when hurt. It will be noticed they breathe very rapidly while furiously crying, which soon allays the irritation, and sleep comes as the sequel. Witness also when one is suddenly startled, how violently the breath is taken, which gives relief. The same thing occurs in the lower animals when pain is being inflicted at the hand of man.
This was advance No. 3, and so sure was I of this new discovery, that I at once made an application while removing decay from an extremely sensitive tooth. To be successful, I found I must make the patient take the start, and I would follow with a thrust from the excavator, which move would be accomplished before the lungs could be inflated. This was repeated for at least a minute, until the operation was completed, I always following immediately or synchronously with the inhalation.
This led to step No. 4, which resulted in its application to the extracting of teeth and other operations in minor surgery.
Up to this time I had believed the sole effect of the rapid inhalation was due to mere diversion of the will, and this was the only way nature could so violently exert herself--that of controlling the involuntary action of the lungs to her uses by the safety valve, or the voluntary movement.
The constant breathing of the patient for thirty seconds to a minute left him in a condition of body and mind resembling the effects of ether and chloroform in their primary stages. I could but argue that the prolonged breathing each time had done it; and, if so, then there must be some specific effect over and above the mere diversion by the will. To what could it be due? To the air alone, which went in excess into the lungs in the course of a minute! Why did I not then immediately grasp the idea of its broader application as now claimed for it? It was too much, gentlemen, for that hour. Enough had been done in this fourth step of conception to rest in the womb of time, until by evolution a higher step could be made at the maturity of the child. Being self-satisfied with my own baby, I watched and caressed it until it could take care of itself, and my mind was again free for another conception.
The births at first seemed to come at very short intervals; but see how long it was between the fourth and the fifth birth. It was soon after that my mind became involved in inventions--a hereditary outgrowth--and the electric mallet and then the dental engine, the parent of your surgical engine, to be found in the principal hospitals of this city, took such possession of my whole soul, that my air analgesic was left slumbering. It was not until August, 1875--nineteen years after--that it again came up in full force, without any previous warning.
This time it was no law of association that revived it; but it seemed the whispering of some one in the air--some ethereal spirit, if you please--which instituted it, and advanced the following problem: "Nitrous oxide gas is composed of the same elements as ordinary air, with a larger equivalent of oxygen, except it is a chemical compound, not a mechanical mixture, and its anaesthetic effects are said to be due to the excess of oxygen. If this be a fact, then why can you not produce a similar effect by rapid breathing for a minute, more or less, by which a larger quantity of oxygen is presented in the lungs for absorption by the blood?"
This query was soon answered by asking myself another: "If the rapid inhalation of air into the lungs does not increase the heart's action and cause it to drive the blood in exact ratio to the inhalations, then I can produce partial anaesthesia from this excess of oxygen brought about by the voluntary movements over their ordinary involuntary action of the lungs." The next question was: Will my heart be affected by this excess of air in the lungs to such an extent that there will be a full reciprocity between them? Without making any trial of it, I argued that, while there is no other muscular movement than that of the chest as under the control of the will, and as nature has given to the will the perfect control over the lungs to supply more or less air, as is demanded by the pneumogastric nerve for the immediate wants of the economy, when the involuntary action is not sufficient; and the heart not being under the control of the will, and its action never accelerated or diminished except by a specific poison, or from the general activity of the person in violent running or working, the blood is forced into the heart faster and must get rid of it, when a larger supply of oxygen is demanded and rapid breathing must occur, or asphyxia result. I was not long in deciding that the heart would not be accelerated but a trifle--say a tenth--and, under the circumstances, I said: "The air is an anaesthetic."
From this rapid course of argument, I was so profoundly convinced of its truth, that without having first tried it upon my own person, I would have sat where I was, upon the curbstone, and had a tooth removed with the perfect expectation of absence of pain and of still being conscious of touch. While yet walking with my children, I commenced to breathe as rapidly as possible, and, as anticipated, found my steps growing shorter and shorter, until I came to a stand, showing to my mind clearly that my argument in advance was right, so far as locomotion was concerned; and, upon referring to my pulse, I found but little acceleration.
To what other conclusion could I arrive from this argument, with the foundation laid nineteen years before, when I established on my own person by experiment the fact of analgesia as induced from chloroform, with the many experiments in rapid respiration on tooth bone?
From this moment until its first application to the extraction of a tooth you can well imagine my suspense. That I might not fail in the very first attempt, I compelled myself and others in my household to breathe rapidly to investigate the phenomenon. This gave me some idea as to the proper method of proceeding in its administering.
The first case soon appeared, and was a perfect success, going far beyond my anticipations, for the effect was such as to produce a partial paralysis of the hands and arms to the elbow. Again and again I tried it in every case of extraction and many other experiments, doubting my own senses for a long time at a result so anomalous and paradoxical. I was reminded just here of a phenomenon which gave me additional proof--that of blowing a dull fire to revive it. For a minute or so one blows and blows in rapid succession until, rising from the effort, a sense of giddiness for a few moments so overcomes that the upright position is with difficulty maintained. In this condition you are fitted for having a tooth extracted or an abscess lanced.
Believing that I had something new to offer which might be of use to suffering humanity, I read the first article upon it Nov. 17, 1875, before the Franklin Institute. Shortly after I was invited before the Northern Medical Society of this city to address them thereon. A number of medical gentlemen have been using it in their practice, while the bulk of them have spurned it as "negative" and preposterous, without an effort at trying it, which I can now very well understand.
Unless one is aware of the fact that in the use of any agent which has the power to suspend the volition, it can be taken to that point where he is still conscious of touch and hearing, and at the same time not cognizant of pain inflicted, the action of rapid breathing could not be understood. And I regret to say that of three-fourths of the medical men I have talked with on the subject they had not been aware of such a possibility from ether and chloroform. Until this analgesic state could be established in their minds it was impossible to convince them that the excess of oxygen, as obtained by rapid breathing, could be made to produce a similar effect. I should have been as reluctant as any one to believe it, had I not personally experienced the effect while performing an operation which would otherwise have been very painful. Such a result could not well be reached by any course of reasoning.
Has it proven in my practice what has been claimed for it--a substitute for the powerful anaesthetics in minor operations in surgery? Most emphatically, yes! So completely has it fulfilled its humble mission in my office, that I can safely assert there has not been more than five per cent. of failures. I have given it under all circumstances of diseased organs, and have seen no other than the happiest results in its after effects. It may well be asked just here: Why has it not been more generally and widely used by the dental profession as well as the medical, if it is really what is claimed for it? The most satisfactory and charitable answer to be given is, the failure upon their part to comprehend the fact as existing in chloroform and ether that there is such a state as analgesia; or, in other words, that the animal economy is so organized, while the sense of touch is not destroyed, but rather increased, the mind of the subject fails to perceive a sense of pain when anaesthetics are given, and the effects are manifested in the primary stage. As I before intimated, such is the knowledge possessed by most of those who administer ether and chloroform. This was enough to cause nearly every one to look upon it as a bubble or air castle. Many gentlemen told me they tried it upon themselves, and, while it affected them very seriously by giddiness, they still retained consciousness; and, such being the case, no effect could be produced for obtunding pain. Others told me they were afraid to continue the breathing alarmed at the vertigo induced. And the practitioner who has adopted it more effectively than any other laughed at me when I first told him of the discovery; but his intimate association with me changed his views after much explanation and argument between us.
It was hardly to be expected that without this knowledge of analgesia, and without any explanation from me as to the modus operandi of rapid breathing, other than a few suggestions or directions as to how the effect was induced, even the most liberal of medical men should be able to make it effective, or have the least disposition to give it a preliminary trial upon themselves, and, of course, would not attempt it upon a patient. Notwithstanding, it found a few adherents, but only among my personal medical friends, with whom I had an opportunity to explain what I believed its physiological action, and the cases of success in my own practice. To this I have submitted as among the inevitable in the calendar of discoveries of all grades.
My own profession have attempted to ridicule it out of its birthright and possible existence, which style of argument is not resorted to by true logicians.
To all this I can truly say I have not for one moment faltered. I could afford to wait. The liberality of this society alone fully compensates for the seeming indisposition of the past, believing that it is proper that every advance should be confronted, and, if in time found worthy, give it God speed.
From its first conception I have diligently labored to solve its modus operandi, and the doubt in my own mind as to whether I could be mistaken in my observations. I asked the opinion of our best chemical teachers if air could have such effect. One attributed it to oxygen stimulation, and the other to nitrogen. Another gentleman told me the medical profession had come to the conclusion that it was possible for me to thus extract teeth, but it was due solely to my strong personal magnetism (which power I was not before aware I possessed).
Now, from what I have related of the successive and natural steps which finally culminated in this process or plan of analgesia induced by an excess of ordinary air taken forcibly into the lungs above what is necessary for life, and from what I shall state as to the apparently anomalous or paradoxical effects, with its physiological action, and the simple tests made upon each of my patients, I shall trust to so convince you of its plausibility and possibility that it will be made use of in hundreds of minor operations where ether and chloroform are now used.
Aside from my assertion and that of its friends, that the effects can be produced by air alone, you must have some light shed upon the causes of its physiological action, which will appeal to your medical reason.
To assign an action to any drug is difficult, and in the cases of ether and the other anaesthetics a quarter of a century still finds many conflicting opinions. This being true, you will deal leniently with me for the opinion I hold as to their analgesic action. Of course it will be objected to, for the unseen is, to a great extent, unknowable. Enough for my argument, however; it seems to suit the case very well without looking for another; and while it was based on the phenomenon resulting from many trials, and not the trials upon it as a previous theory, I shall be content with it until a better one can be found.
What is it I claim as a new discovery, and the facts and its philosophy?
I have asserted that I can produce, from rapidly breathing common air at the rate of a hundred respirations a minute, a similar effect to that from ether, chloroform, and nitrous oxide gas, in their primary stages; and I can in this way render patients sufficiently insensible to acute pain from any operation where the time consumed is not over twenty to thirty seconds. While the special senses are in partial action, the sense of pain is obtunded, and in many cases completely annulled, consciousness and general sensibility being preserved.
To accomplish this, each patient must be instructed how to act and what to expect. As simple as it may seem, there is a proper and consistent plan to enable you to reach full success. Before the patient commences to inhale he is informed of the fact that, while he will be unconscious of pain, he will know full, or partially well, every touch upon the person; that the inhalation must be vigorously kept up during the whole operation without for an instant stopping; that the more energetically and steadily he breathes, the more perfect the effect, and that if he cease breathing during the operation, pain will be felt. Fully impress them with this idea, for the very good reason that they may stop when in the midst of an operation, and the fullest effects be lost. It is obligatory to do so on account of its evanescent effects, which demand that the patient be pushed by the operator's own energetic appeals to "go on." It is very difficult for any person to respire more than one hundred times to the minute, as he will become by that time so exhausted as not to be able to breathe at all, as is evidenced by all who have thus followed my directions. For the next minute following the completion of the operation the subject will not breathe more than once or twice. Very few have force enough left to raise hand or foot. The voluntary muscles have nearly all been subjugated and overcome by the undue effort at forced inhalation of one hundred over seventeen, the normal standard. It will be more fully understood further on in my argument why I force patients, and am constantly speaking to them to go on.
I further claim that for the past four years, so satisfactory has been the result of this system in the extracting of teeth and deadening extremely sensitive dentine, there was no longer any necessity for chloroform, ether, or nitrous oxide in the dental office. That such teeth as cannot be extracted by its aid can well be preserved and made useful, except in a very few cases, who will not be forced to breathe.
The anaesthetics, when used in major operations, where time is needed for the operation, can be made more effective by a lesser quantity when given in conjunction with "rapid breathing." Drs. Garrettson and Hews, who have thus tried it, tell me it takes one-half to three-fourths less, and the after effects are far less nauseating and unpleasant.
As an agent in labor where an anaesthetic is indicated, it is claimed by one who has employed it (Dr. Hews) in nearly every case for three years, he has used "rapid breathing" solely, and to the exclusion of chloroform and ether. For this I have his assertion, and have no doubt of it whatever, for if any agent could break down the action of the voluntary muscles of the parts involved, which prevent the involuntary muscles of the uterus from having their fullest effect, it is this. The very act of rapid breathing so affects the muscles of the abdomen as to force the contents of the uterus downward or outward, while the specific effect of the air at the end of a minute's breathing leaves the subject in a semi-prostrate condition, giving the uterus full chance to act in the interim, because free of the will to make any attempt at withholding the involuntary muscles of the uterus from doing their natural work. It is self evident; and in this agent we claim here a boon of inestimable value. And not least in such cases is, there is no danger of hemorrhage, since the cause of the effect is soon removed.
In attestation of many cases where it has been tried, I have asked the mother, and, in some cases, the attendants, whether anything else had been given, and whether the time was very materially lessened, there has been but one response, and that in its favor.
Gentlemen, if we are not mistaken in this, you will agree with me in saying that it is no mean thing, and should be investigated by intelligent men and reported upon. From my own knowledge of its effects in my practice, I am bound to believe this gentleman's record.
I further claim for it a special application in dislocations. It has certainly peculiar merits here, as the will is so nearly subjugated by it as to render the patient quite powerless to resist your effort at replacing, and at the same time the pain is subdued.
It is not necessary I should further continue special applications; when its modus operandi is understood, its adaptation to many contingencies will of a sequence follow.
It is well just here, before passing to the next point of consideration, to answer a query which may arise at this juncture:
What are the successive stages of effects upon the economy from its commencement until the full effect is observed, and what proof have I that it was due to the amount of air inhaled?
The heart's action is not increased more than from seventy (the average) to eighty and sometimes ninety, but is much enfeebled, or throwing a lesser quantity of blood. The face becomes suffused, as in blowing a fire or in stooping, which continues until the breathing is suspended, when the face becomes paler. (Have not noticed any purple as from asphyxia by a deprivation of oxygen.) The vision becomes darkened, and a giddiness soon appears. The voluntary muscles furthest from the heart seem first to be affected, and the feet and hands, particularly the latter, have a numbness at their ends, which increases, until in many cases there is partial paralysis as far as the elbow, while the limbs become fixed. The hands are so thoroughly affected that, when open, the patient is powerless to close them and vice versa. There is a vacant gaze from the eyes and looking into space without blinking of the eyelids for a half minute or more. The head seems incapable of being held erect, and there is no movement of the arms or legs as is usual when in great pain. There is no disposition on the part of the patient to take hold of the operator's hand or interfere with the operation.
Many go on breathing mechanically after the tooth is removed, as if nothing had occurred. Some are aware that the tooth has been extracted, and say they felt it; others could not tell what had been accomplished. The majority of cases have an idea of what is being done, but are powerless to resist.
With the very intelligent, or those who stop to reason, I have to teach them the peculiarities of being sensible of touch and not of pain.
One very interesting case I will state. In extracting seven teeth for a lady who was very unwilling to believe my statement as to touch and no pain, I first removed three teeth after having inhaled for one minute, and when fully herself, she stated that she could not understand why there was no pain while she was conscious of each one extracted; it was preposterous to believe such an effect could be possible, as her reason told her that there is connected with tooth extracting pain in the part, and of severe character, admitting, though, she felt no pain. She allowed one to be removed without anything, and she could easily distinguish the change, and exclaimed, "It is all the difference imaginable!" When the other three were extracted, there was perfect success again as with the first three.
One of the most marked proofs of the effects of rapid breathing was that of a boy of eleven years of age for whom I had to extract the upper and lower first permanent molars on each side. He breathed for nearly a minute, when I removed in about twenty seconds all four of the teeth, without a moment's intermission or the stopping the vigorous breathing; and not a murmur, sigh, or tear afterward.
He declared there was no pain, and we needed no such assertion, for there was not the first manifestation from him that he was undergoing such a severe operation.
Another case, the same day, when I had to extract the superior wisdom teeth on both sides for an intelligent young lady of eighteen years, where I had to use two pairs of forceps on each tooth (equivalent to extraction of four teeth), and she was so profoundly affected afterward that she could; not tell me what had been done other than that I had touched her four times. She was overcome from its effects for at least a minute afterward. She was delighted.
With such severe tests I fear very little the result in any case I can have them do as I bid.
There can be no mistake that there is a specific action from something. It cannot be personal magnetism or mesmeric influence exerted by me, for such cases are rare, averaging about 10 per cent, only of all classes. Besides, in mesmeric influence the time has nothing to do with it; whereas, in my cases, it cannot last over a half minute or minute at most. It cannot be fear, as such cases are generally more apt to get hurt the worse. It is not diversion of mind alone, as we have an effect above it.
There is no better way of testing whether pain has been felt than by taking the lacerated or contused gums of the patient between the index finger and thumb and making a gentle pressure to collapse the alveolar borders; invariably, they will cry out lustily, that is pain! This gives undoubted proof of a specific agent. There is no attempt upon my own part to exert any influence over my patients in any way other than that they shall believe what I say in regard to giving them no pain and in the following of my orders. Any one who knows how persons become mesmerized can attest that it was not the operator who forces them under it against their will, but it is a peculiar state into which any one who has within themselves this temperament can place themselves where any one who knows how can have control. It is not the will of the operator. I therefore dismiss this as unworthy of consideration in connection with rapid breathing.
Then you may now ask, To what do I attribute this very singular phenomenon?
Any one who followed, in the earlier part of this paper, the course of the argument in my soliloquy, after twenty years had elapsed from my observation upon myself of the analgesic effects of chloroform, can almost give something of an answer.
That you may the more easily grasp what I shall say, I will ask you, If it be possible for any human being to make one hundred inhalations in a minute and the heart's action is not increased more than ten or twenty pulsations over the normal, what should be the effect upon the brain and nerve centers?
If the function of oxygen in common air is to set free in the blood, either in the capillaries alone, or throughout the whole of the arterial circulation, carbonic acid gas; and that it cannot escape from the system unless it do so in the lungs as it passes in the general current--except a trace that is removed by the skin and kidneys--and that the quantity of carbonic acid gas set free is in exact relation to the amount of oxygen taken into the blood, what effect must be manifested where one hundred respirations in one minute are made--five or six times the normal number--while the heart is only propelling the blood a very little faster through the lungs, and more feebly--say 90 pulsations at most, when to be in proportion it should be 400 to 100 respirations to sustain life any length of time?
You cannot deny the fact that a definite amount of oxygen can be absorbed and is absorbed as fast as it is carried into the lungs, even if there be one hundred respirations to the minute, while the pulsations of the heart are only ninety! Nature has made it possible to breathe so rapidly to meet any emergency; and we can well see its beautiful application in the normal action of both the heart and lungs while one is violently running.
What would result, and that very speedily, were the act of respiration to remain at the standard--say 18 or 20--when the heart is in violent action from this running? Asphyxia would surely end the matter! And why? The excessive exercise of the whole body is setting free from the tissues such an amount of excretive matter, and carbon more largely than all the others, that, without a relative action of the lungs to admit the air that oxygen may be absorbed, carbonic acid gas cannot be liberated through the lungs as fast as the waste carbon of the overworked tissues is being made by disassimilation from this excess of respiration.
You are already aware how small a quantity of carbonic acid in excess in the air will seriously affect life. Even 2 to 3 per cent, in a short time will prove fatal. In ordinary respiration of 20 to the minute the average of carbonic acid exhaled is 4.35.
From experiments long ago made by Vierordt--see Carpenter, p. 524--you will see the relative per cent, of carbonic acid exhaled from a given number of respirations. When he was breathing six times per minute, 5.5 per cent of the exhaled air was carbonic acid; twelve times, 4.2; twenty-four times, 3.3; forty-eight times, 3; ninety-six times, 2.6.
Remember this is based upon the whole number of respirations in the minute and not each exhalation--which latter could not be measured by the most minute method.
Let us deduct the minimum amount, 2.6 per cent, of carbonic acid when breathing ninety-six times per minute, from the average, at twenty per minute, or the normal standard, which is recorded in Carpenter, p. 524, as 4.35 per minute, and we have retained in the circulation nearly 2 per cent. of carbonic acid; that, at the average, would have passed off through the lungs without any obstruction, and life equalized; but it not having been thrown off as fast as it should have been, must, of necessity, be left to prey upon the brain and nerve centers; and as 2 to 3 per cent., we are told, will so poison the blood, life is imperiled and that speedily.
It is not necessary we should argue the point as to whether oxygen displaces carbonic acid in the tissues proper or the capillaries. The theory of Lavoisier on this point has been accepted.
We know furthermore, as more positive, that tissues placed in an atmosphere of oxygen will set free carbonic acid, and that carbonic acid has a paralyzing effect upon the human hand held in it for a short time. The direct and speedy effects of this acid upon the delicate nervous element of the brain is so well known that it must be accepted as law. One of the most marked effects is the suspension of locomotion of the legs and arms, and the direct loss of will power which must supervene before voluntary muscular inactivity, which amounts to partial paralysis in the hands or feet, or peripheral extremities of the same.
Now that we have sufficient evidence from the authorities that carbonic acid can be retained in the blood by excessive breathing, and enough to seriously affect the brain, and what its effects are when taken directly into the lungs in excess, we can enter upon what I have held as the most reasonable theory of the phenomenon produced by rapid breathing for analgesic purposes; which theory was not first conceived and the process made to yield to it, but the phenomenon was long observed, and from the repetition of the effects and their close relationship to that of carbonic acid on the economy, with the many experiments performed upon myself, I am convinced that what I shall now state will be found to substantiate my discovery. Should it not be found to coincide with what some may say is physiological truth, it will not invalidate the discovery itself; for of that I am far more positive than Harvey was of the discovery of the circulation of the blood; or of Galileo of the spherical shape of the earth. And I ask that it shall not be judged by my theory, but from the practice.
It should have as much chance for investigation as the theory of Julius Robert Mayer, upon which he founded, or which gave rise to the establishment of one of the most important scientific truths--"the conservation of energy," and finally the "correlation of forces," which theory I am not quite sure was correct, although it was accepted, and as yet, I have not seen it questioned.
In all due respect to him I quote it from the sketch of that remarkable man, as given in the Popular Science Monthly, as specially bearing on my discovery:
"Mayer observed while living in Java, that the venous blood of some of his patients had a singularly bright red color. The observation riveted his attention; he reasoned upon it, and came to the conclusion that the brightness of the color was due to the fact that a less amount of oxidation was sufficient to keep up the temperature of the body in a hot climate than a cold one. The darkness of the venous blood he regarded as the visible sign of the energy of the oxidation."
My observation leads me to the contrary, that the higher the temperature the more rapid the breathing to get clear of the excess of carbon, and hence more oxygenation of the blood which will arterialize the venous blood, unless there is a large amount of carbonized matter from the tissues to be taken up.
Nor must it be denied because of the reasoning as presented to my mind by some outside influence in my soliloquy when I first exclaimed, "Nature's anaesthetic," where the argument as to the effects of nitrous oxide gas being due to an excess of oxygen was urged, and that common air breathed in excess would do the same thing.
I am not sure that it was correct, for the effects of nitrous oxide is, perhaps, due to a deprivation of mechanically mixed air.
Knowing what I do of theory and practice, I can say with assurance that there is not a medical practitioner who would long ponder in any urgent case as to the thousand and one theories of the action of remedies; but would resort to the practical experience of others and his own finally. (What surgeon ever stops to ask how narcotics effect their influence?) After nearly thirty years of association with ether and chloroform, who can positively answer as to their modus operandi? It is thus with nearly the whole domain of medicine. It is not yet, by far, among the sciences, with immutable laws, such as we have in chemistry. Experimentation is giving us more specific knowledge, and "practice alone has tended to make perfect." (Then, gentlemen will not set at naught my assertion and practical results. When I have stated my case in full it is for you to disprove both the theory and practice annunciated. So far as I am concerned I am responsible for both.)
You will please bear with me for a few minutes in my attempt at theory.
The annulling of pain, and, in some cases, its complete annihilation, can be accomplished in many ways. Narcotics, anaesthetics--local and internal--direct action of cold, and mesmeric or physiological influence, have all their advocates, and each will surely do its work. There is one thing about which, I think, we can all agree, as to these agencies; unless the will is partially and in some cases completely subjugated there can be no primary or secondary effect. The voluntary muscles must become wholly or partially paralyzed for the time. Telegraphic communication must be cut off from the brain, that there be no reflex action. It is not necessary there should be separate nerves to convey pleasure and pain any more than there should be two telegraphic wires to convey two messages.
If, then, we are certain of this, it matters little as to whether it was done by corpuscular poisoning and anaemia as from chloroform or hyperaemia from ether.
I think we are now prepared to show clearly the causes which effect the phenomena in "rapid breathing."
The first thing enlisted is the diversion of the will force in the act of forced respiration at a moment when the heart and lungs have been in normal reciprocal action (20 respirations to 80 pulsations), which act could not be made and carried up to 100 respirations per minute without such concentrated effort that ordinary pain could make no impression upon the brain while this abstraction is kept up.
Second. There is a specific effect resulting from enforced respiration of 100 to the minute, due to the excess of carbonic acid gas set free from the tissues, generated by this enforced normal act of throwing into the lungs five times the normal amount of oxygen in one minute demanded, when the heart has not been aroused to exalted action, which comes from violent exercise in running or where one is suddenly startled, which excess of carbonic acid cannot escape in the same ratio from the lungs, since the heart does not respond to the proportionate overaction of the lungs.
Third.--Hyperaemia is the last in this chain of effects, which is due to the excessive amount of air passing into the lungs preventing but little more than the normal quantity of blood from passing from the heart into the arterial circulation, but draws it up in the brain with its excess of carbonic acid gas to act also directly upon the brain as well as throughout the capillary and venous system, and as well upon the heart, the same as if it were suspended in that gas outside the body.
These are evident to the senses of any liberal observer who can witness a subject rapidly breathing.
Some ask why is not this same thing produced when one has been running rapidly for a few minutes? For a very good reason: in this case the rapid inhalations are preceded by the violent throes of the heart to propel the carbonized blood from the overworked tissues and have them set free at the lungs where the air is rushing in at the normal ratio of four to one. This is not an abnormal action, but is of necessity, or asphyxia would instantly result and the runner would drop. Such sometimes occurs where the runner exerts himself too violently at the very outset; and to do so he is compelled to hold his breath for this undue effort, and the heart cannot carry the blood fast enough. In this instance there is an approach to analgesia as from rapid breathing.
Let me take up the first factor--diversion of will--and show that nature invariably resorts to a sudden inhalation to prevent severe infliction of pain being felt. It is the panacea to childhood's frequent bruises and cuts, and every one will remember how when a finger has been hurt it is thrust into the mouth and a violent number of efforts at rapid inhalation is effected until ease comes. By others it is subdued by a fit of crying, which if you will but imitate the sobs, will find how frequently the respirations are made.
One is startled, and the heart would seem to jump out of the chest; in quick obedience to nature the person is found making a number of quick inhalations, which subdue the heart and pacify the will by diversion from the cause.
The same thing is observed in the lower animals. I will relate a case:
An elephant had been operated upon for a diseased eye which gave him great pain, for which he was unprepared, and he was wrathy at the keeper and surgeon. It soon passed off, and the result of the application was so beneficial to the animal that when brought out in a few days after, to have another touch of caustic to the part, he was prepared for them; and, just before the touch, he inflated the lungs to their fullest extent, which occupied more time than the effect of the caustic, when he made no effort at resistance and showed no manifestation of having been pained.
In many cases of extraction of the temporary teeth of children, I make them at the instant I grasp the tooth take one very violent inhalation, which is sufficient. Mesmeric anaesthesia can well be classified under diversion or subjugation of the will, but can be effected in but a small percentage of the cases. To rely upon this first or primary effect, except in instantaneous cases, would be failure.
The second factor is the one upon which I can rely in such of the cases as come into my care, save when I cannot induce them to make such a number of respirations as is absolutely necessary. The whole secret of success lies in the greatest number of respirations that can be effected in from 60 to 90 seconds, and that without any intermission. If the heart, by the alow method of respiration, is pulsating in ratio of four to one respiration, no effect can be induced.
When the respirations are, say, 100 to the minute, and made with all the energy the patient can muster, and are kept up while the operation is going on, there can hardly be a failure in the minor operations.
It is upon this point many of you may question the facts. Before I tried it for the first time upon my own person, I arrived at the same conclusion from a course of argument, that rapid breathing would control the heart's action and pacify it, and even reduce it below the normal standard under my urgent respirations.
In view of the many applications made I feel quite sure in my belief that, inasmuch as the heart's action is but slightly accelerated, though with less force from rapid breathing at the rate of 100 to the minute, there is such an excess of carbonic acid gas set free and crowding upon the heart and capillaries of the brain, without a chance to escape by the lungs, that it is the same to all intents as were carbonic acid breathed through the lungs in common air. Look at the result after this has been kept up for a minute or more? During the next minute the respirations are not more than one or two, and the heart has fallen really below, in some cases, the standard beat, showing most conclusively that once oxygenation has taken place and that the free carbonic acid gas has been so completely consumed, that there is no involuntary call through the pneumogastric nerve for a supply of oxygen.
If any physiological facts can be proven at all, then I feel quite sure of your verdict upon my side.
There is no one thing that goes so far to prove the theory of Lavoisier regarding the action of oxygen in the tissues and capillaries for converting carbon into carbonic acid gas instead of the lungs, as held prior to that time, and still held by many who are not posted in late experiments. At the time I commenced this practice I must confess I knew nothing of it. The study of my cases soon led me to the same theory of Lavoisier, as I could not make the phenomena agree with the old theory of carbonic acid generated only in the lungs.
When Vierordt was performing his experiments upon himself in rapid breathing from six times per minute to ninety-six, I cannot understand why he failed to observe and record what did certainly result--an extreme giddiness with muscular prostration and numbness in the peripheries of the hands and feet, with suffusion of the face, and such a loss of locomotion as to prevent standing erect without desiring support. Besides, the very great difference he found in the amount of carbonic acid retained in the circulation, the very cause of the phenomena just spoken of.
One thing comes in just here to account for the lack of respiration the minute after the violent effort. The residual air, which in a normal state is largely charged with carbonic acid, has been so completely exhausted that some moments are consumed before there is sufficient again to call upon the will for its discharge.
As to hyperaemia you will also assent, now that my second factor is explained; but it is so nearly allied to the direct effect of excessive respiration that we can well permit it to pass without argument. If hyperaemia is present, we have a more certain and rather more lasting effect.
In conclusion, I will attempt to prognosticate the application of this principle to the cure of many diseases of chronic nature, and especially tuberculosis; where from a diminished amount of air going into the lungs for want of capacity, and particularly for want of energy and inclination to breathe in full or excess, the tissues cannot get clear of their excrementitious material, and particularly the carbon, which must go to the lungs, this voluntary effort can be made frequently during the day to free the tissues and enable them to take nutritious material for their restoration to their standard of health.
Air will be found of far more value than ever before as one of the greatest of factors in nutrition, and which is as necessary as proper food, and without which every organization must become diseased, and no true assimilation can take place without a due amount of oxygen is hourly and daily supplied by this extra aid of volition which has been so long overlooked.
The pure oxygen treatment has certainly performed many cures; yet, when compared to the mechanical mixture and under the direct control of the will, at all times and seasons, there is no danger from excessive oxygenation as while oxygen is given. When every patient can be taught to rely upon this great safety valve of nature, there will be less need for medication, and the longevity of our race be increased with but little dread by mankind for that terrible monster consumption, which seems to have now unbounded control.
When this theory I have here given you to-night is fully comprehended by the medical world and taught the public, together with the kind of foods necessary for every one in their respective occupation, location, and climate, we may expect a vast change in their physical condition and a hope for the future which will brighten as time advances.
I herewith attach the sphygmographic tracings made upon myself by another, showing the state of the pulse as compared with the progress of the respiration.
Sphygmographic tracings of the pulse of the essayist. Normal pulse 60 to the minute. Ten seconds necessary for the slip to pass under the instrument.
A, A¹, normal pulse.F, pulse taken after rapid breathing for one minute, as in E, where no respiration had as yet been taken after the essayist had kept it up for that one minute. This was after 10 seconds had intervened.
B, pulse taken after breathing rapidly for 15 seconds when 20 respirations had been taken.
C, rapid breathing for 30 seconds, 43 respirations.
D, " " 45 " 76 "
E, " " 60 " 96 "
G, the same taken 50 seconds after, and still no respiration had been taken, the subject having no disposition to inhale, the blood having been over oxygenated.
The pulse in E shows after 96 respirations but 14, or 84 per minute, and the force nearly as in the normal at A, A1.
The record in B shows the force more markedly, but still normal in number.
F and G show very marked diminution in the force, but the number of pulsations not over 72 per minute; G particularly so, the heart needing the stimulus of the oxygen for full power.
The following incident which has but very recently been made known, gives most conclusive evidence of the truth of the theory and practice of rapid breathing.
A Mexican went into the office of a dentist in one of the Mexican cities to have a tooth extracted by nitrous oxide gas.
The dentist was not in, and the assistant was about to permit the patient to leave without removing the tooth, when the wife of the proprietor exclaimed that she had often assisted her husband in giving the gas, and that she would do so in this instance if the assistant would agree to extract the tooth. It was agreed. All being in readiness, the lady turned on as she supposed the gas, and the Mexican patient was ordered to breathe as fast as possible to make sure of the full effect and no doubt of the final success. The assistant was about to extract, but the wife insisted on his breathing more rapidly, whereupon the patient was observed to become very dark or purple in the face, which satisfied the lady that the full effect was manifested, and the tooth was extracted, to the great satisfaction of all concerned. While the gas was being taken by the Mexican the gasometer was noticed to rise higher and higher as the patient breathed faster, and not to sink as was usual when the gas had been previously administered. This led to an investigation of the reason of such an anomalous result, when to their utter surprise they found the valve was so turned by the wife that the Mexican had been breathing nothing but common air, and instead of exhaling into the surrounding air he violently forced it into the gasometer with the nitrous oxide gas, causing it to rise and not sink, which it should have done had the valve been properly turned by the passage of gas into the lungs of the patient.
No more beautiful and positive trial could happen, and might not again by accident or inadvertence happen again in a lifetime.
When a bottle of any liquor charged with carbonic acid under strong pressure, such as champagne, sparkling cider, seltzer water, etc., is uncorked, the contents often escape with considerable force, flow out, and are nearly all lost. Besides this, the noise made by the popping of the cork is not agreeable to most persons. To remedy these inconveniences there has been devised the simple apparatus which we represent in the accompanying cut, taken from La Nature. The device consists of a hollow, sharp-pointed tube, having one or two apertures in its upper extremity which are kept closed by a hollow piston fitting in the interior of the tube. This tube, or "tap," as it may be called, is supported on a firm base to which is attached a draught tube, and a small lever for actuating the piston. After the tap has been thrust through the cork of the bottle of liquor the contents may be drawn in any quantity and as often as wanted by simply pressing down the lever with the finger; this operation raises the piston so that its apertures correspond with those in the sides of the top, and the liquid thus finds access to the draught tube through the interior of the piston. By removing the pressure the piston descends and thus closes the vents. By means of this apparatus, then, the contents of any bottle of effervescing liquids may be as easily drawn off as are those contained in the ordinary siphon bottles in use.
TAP FOR EFFERVESCING LIQUIDS.
Mr. Vivian Lewes read a paper on "Pentathionic Acid." In March last the author, at the suggestion of Dr. Debus, undertook an investigation of pentathionic acid, the existence of which has been denied. The analyses of the liquid obtained by Wackenroder and others, by passing sulphureted hydrogen and sulphur dioxide through water, are based on the assumption that only one acid is present in the solution, and consequently do not establish the existence of pentathionic acid; as, for example, a mixture of one molecule of H2S4O6 and one molecule of H2S6O6 would give the same analytical results as H2S5O6. Moreover, no salt of pentathionic acid has been prepared in a pure state. The author has succeeded in preparing barium pentathionate thus: A Wackenroder solution was about half neutralized with barium hydrate, filtered, and the clear solution evaporated in vacuo over sulphuric acid. After eighteen days crystals, which proved to be barium pentathionate + 3 molecules of water, formed. These crystals were separated, and the liquid further evaporated, when a second crop was obtained intermediate in composition between the tetra and pentathionate. These were separated, and the mother-liquor on standing deposited some oblong rectangular crystals. These on analysis proved to consist of baric pentathionate with three molecules of water. This salt dissolves readily in cold water; the solution is decomposed by strong potassic hydrate, baric sulphite, hyposulphites, and sulphur being formed. By a similar method of procedure the author obtained potassium pentathionate, anhydrous, and with one or two molecules of water. The author promises some further results with some other salts of the higher thionates.
The president said that the society had to thank the author for a very complete research on the subject of pentathionic acid. He, however, begged to differ from him as to his statements concerning the researches of Messrs. Takamatsu and Smith; in his opinion these authors had proved the existence of pentathionic acid. He hoped that the crystals (which were very fine) would be measured.
Dr. Debus said that no one had previously been able to make the salts of pentathionic acid, and expressed his sense of the great merit due to the author for his perseverance and success. The paper opened up some highly interesting theoretical speculations as to the existence of hexathionic acid. If potassium tetrathionate was dissolved in water it could be re-crystallized, but potassium pentathionate under similar circumstances splits into sulphur and tetrathionate; but a mixture of tetrathionate and pentathionate can be re-crystallized. It seemed as if the sulphur when eliminated from the pentathionate combined with the tetrathionate.
Dr. Dupré asked Dr. Debus how it was that a molecule of pentathionate could be re-crystallized, whereas two molecules of pentathionate, which should, when half decomposed, furnish a molecule of tetra and a molecule of pentathionate, could not.
Dr. Armstrong then read a "Preliminary Note on some Hydrocarbons from Rosin Spirit." After giving an account of our knowledge of rosin spirit, the author described the result of the examination of the mixture of hydrocarbons remaining after heating it with sulphuric acid and diluting with half its volume of water and steam distilling. Thus treated rosin spirit furnishes about one-fourth of its volume of a colorless mobile liquid, which after long-continued fractional distillation is resolved into a variety of fractions boiling at temperatures from 95° to over 180°. Each of the fractions was treated with concentrated sulphuric acid, and the undissolved portions were then re-fractionated. The hydrocarbons dissolved by the acid were recovered by heating under pressure with hydrochloric acid. Besides a cymene and a toluene, which have already been shown to exist in rosin spirit, metaxylene was found to be present. The hydrocarbons insoluble in sulphuric acid are, apparently, all members of the CnH2n series; they are not, however, true homologues of ethylene, but hexhydrides of hydrocarbons of the benzene series. Hexhydro-toluene and probably hex-hydrometaxylene are present besides the hydrocarbon, C10H20, but it is doubtful if an intermediate term is also present. It is by no means improbable, however, that these hydrocarbons are, at least in part, products of the action of the sulphuric acid. Cahours and Kraemer's and Godzki's observations on the higher fractions of crude wood spirit, in fact, furnish a precedent for this view. Referring to the results obtained by Anderson, Tilden, and Renard, the author suggests that rosin spirit perhaps contains hydrides intermediate in composition between those of the CnH2n-6 and CnH2n series, also derived like the latter from hydrocarbons of the benzene series. Finally, Dr Armstrong mentioned that the volatile portion of the distillate from the non-volatile product of the oxidation of oil of turpentine in moist air furnishes ordinary cymene when treated in the manner above described. The fact that rosin spirit yields a different cymene is, he considers, an argument against the view which has more than once been put forward, that rosin is directly derived from terpene. Probably resin and turpentine, though genetically related, are products of distinct processes.
The next paper was "On the Determination of the Relative Weight of Single Molecules," by E. Vogel, of San Francisco. This paper, which was taken as read, consists of a lengthy theoretical disquisition, in which the author maintains the following propositions: That the combining weights of all elements are one third of their present values; the assumption that equal volumes of gases contain equal numbers of molecules does not hold good; that the present theory of valency is not supported by chemical facts, and that its elimination would be no small gain for chemistry in freeing it of an element full of mystery, uncertainty, and complication; that the distinction between atoms and molecules will no longer be necessary; that the facts of specific heat do not lend any support to the theory of valency. The paper concludes as follows: "The cause of chemical action is undoubtedly atmospheric pressure, which under ordinary conditions is equal to the weight of 76 cubic centimeters of mercury, one of which equals 6.145 mercury molecules, so that the whole pressure equals 467 mercury molecules. This force--which with regard to its chemical effect on molecules can be multiplied by means of heat--is amply sufficient to bring about the highest degree of molecular specific gravity by the reduction of the molecular volumes. To it all molecules are exposed and subjected unalterably, and if not accepted as the cause of chemical action, its influence has to be eliminated to allow the introduction and display of other forces."
The next communication was "On the Synthetical Production of Ammonia, by the Combination of Hydrogen and Nitrogen in Presence of Heated Spongy Platinum (Preliminary Notice)," by G. S. Johnson. Some experiments, in which pure nitrogen was passed over heated copper containing occluded hydrogen, suggested to the author the possibility of the formation of ammonia; only minute traces were formed. On passing, however, a mixture of pure nitrogen (from ammonium nitrite) and hydrogen over spongy platinum at a low red heat, abundant evidence was obtained of the synthesis of ammonia. The gases were passed, before entering the tube containing the platinum, through a potash bulb containing Nessler reagent, which remained colorless. On the contrary, the gas issuing from the platinum rapidly turned Nessler reagent brown, and in a few minutes turned faintly acid litmus solution blue; the odor of NH3 was also perceptible. In one experiment 0.0144 gramme of ammonia was formed in two hours and a half. The author promises further experiment as to the effect of temperature, rate of the gaseous current, and substitution of palladium for platinum. The author synthesized some ammonia before the Society with complete success.
The President referred to the synthesis of ammonia from its elements recently effected by Donkin, and remarked that apparently the ammonia was formed in much larger quantities by the process proposed by the author of the present paper.
Mr. Warington suggested that some HCl gas should be simultaneously passed with the nitrogen and hydrogen, and that the temperature of the spongy platinum should be kept just below the temperature at which NH3 dissociates, in order to improve the yield of NH3.
"On the Oxidation of Organic Matter in Water" by A. Downes. The author considers that the mere presence of oxygen in contact with the organic matter has but little oxidizing action unless lowly organisms, as bacteria, etc. be simultaneously present. Sunlight has apparently considerable effect in promoting the oxidation of organic matter. The author quotes the following experiment: A sample of river water was filtered through paper. It required per 10,000 parts 0.236 oxygen as permanganate. A second portion was placed in a flask plugged with cotton wool, and exposed to sunlight for a week; it then required 0.200. A third portion after a week, but excluded from light, required 0.231. A fourth was boiled for five minutes, plugged, and then exposed to sunlight for a week; required 0.198. In a second experiment with well water a similar result was obtained; more organic matter was oxidized when the organisms had been killed by the addition of sulphuric acid than when the original water was allowed to stand for an equal length of time. The author also discusses the statement made by Dr. Frankland that there is less ground for assuming that the organized and living matter of sewage is oxidized in a flow of twelve miles of a river than for assuming that dead organic matter is oxidized in a similar flow.--Chem. News.
This celebrated perfume is the volatile essential oil distilled from the flowers of some varieties of rose. The botany of roses appears to be in a transition and somewhat unsatisfactory state. Thus the otto-yielding rose is variously styled Rosa damascena, R. sempervirens, R. moschata, R. gallica, R. centifolia, R. provincialis. It is pretty generally agreed that the kind grown for its otto in Bulgaria in the damask rose (R. damascena), a variety induced by long cultivation, as it is not to be found wild. It forms a bush, usually three to four feet, but sometimes six feet high; its flowers are of moderate size, semi-double, and arranged several on a branch, though not in clusters or bunches. In color, they are mostly light-red; some few are white, and said to be less productive of otto.
The utilization of the delicious perfume of the rose was attempted, with more or less success, long prior to the comparatively modern process of distilling its essential oil. The early methods chiefly in vogue were the distillation of rose-water, and the infusion of roses in olive oil, the latter flourishing in Europe generally down to the last century, and surviving at the present day in the South of France. The butyraceous oil produced by the distillation of roses for making rose-water in this country is valueless as a perfume; and the real otto was scarcely known in British commerce before the present century.
The profitable cultivation of roses for the preparation of otto is limited chiefly by climatic conditions. The odoriferous constitutent of the otto is a liquid containing oxygen, the solid hydrocarbon or stearoptene, with which it is combined, being absolutely devoid of perfume. The proportion which this inodorous solid constituents bears to the liquid perfume increases with the unsuitability of the climate, varying from about 18 per cent. in Bulgarian oil, to 35 and even 68 per cent. in rose oils distilled in France and England. This increase in the proportion of stearoptene is also shown by the progressively heightened fusing-point of rose oils from different sources: thus, while Bulgarian oil fuses at about 61° to 64° Fahr., an Indian sample required 68° Fahr.; one from the South of France, 70° to 73° Fahr.; one from Paris, 84° Fahr.; and one obtained in making rose-water in London, 86° to 89½° Fahr. Even in the Bulgarian oil, a notable difference is observed between that produced on the hills and that from the lowlands.
It is, therefore, not surprising that the culture of roses, and extraction of their perfume, should have originated in the East. Persia produced rose-water at an early date, and the town of Nisibin, north-west of Mosul, was famous for it in the 14th century. Shiraz, in the 17th century, prepared both rose water and otto, for export to other parts of Persia, as well as all over India. The Perso-Indian trade in rose oil, which continued to possess considerable importance in the third quarter of the 18th century, is declining, and has nearly disappeared; but the shipments of rose-water still maintain a respectable figure. The value, in rupees, of the exports of rose-water from Bushire in 1879, were--4,000 to India, 1,500 to Java, 200 to Aden and the Red Sea, 1,000 to Muscat and dependencies, 200 to Arab coast of Persian Gulf and Bahrein, 200 to Persian coast and Mekran, and 1,000 to Zanzibar. Similar statistics relating to Lingah, in the same year, show--Otto: 400 to Arab coast of Persian Gulf, and Bahrein; and 250 to Persian coast and Mekran. And Bahrein--Persian Otto: 2,200 to Koweit, Busrah, and Bagdad. Rose-water: 200 to Arab coast of Persian Gulf, and 1,000 to Koweit, Busrah, and Bagdad.
India itself has a considerable area devoted to rose-gardens, as at Ghazipur, Lahore, Amritzur, and other places, the kind of rose being R. damascena, according to Brandis. Both rose-water and otto are produced. The flowers are distilled with double their weight of water in clay stills; the rose-water (goolabi pani) thus obtained is placed in shallow vessels, covered with moist muslin to keep out dust and flies, and exposed all night to the cool air, or fanned. In the morning, the film of oil, which has collected on the top, is skimmed off by a feather, and transferred to a small phial. This is repeated for several nights, till almost the whole of the oil has separated. The quantity of the product varies much, and three different authorities give the following figures: (a) 20,000 roses to make 1 rupee's weight (176 gr.) of otto; (b) 200,000 to make the same weight; (c) 1,000 roses afford less than 2 gr. of otto. The color ranges from green to bright-amber, and reddish. The oil (otto) is the most carefully bottled; the receptacles are hermetically sealed with wax, and exposed to the full glare of the sun for several days. Rose water deprived of otto is esteemed much inferior to that which has not been so treated. When bottled, it is also exposed to the sun for a fortnight at least.
The Mediterranean countries of Africa enter but feebly into this industry, and it is a little remarkable that the French have not cultivated it in Algeria. Egypt's demand for rose-water and rose-vinegar is supplied from Medinet Fayum, south-west of Cairo. Tunis has also some local reputation for similar products. Von Maltzan says that the rose there grown for otto is the dog-rose (R. canina), and that it is extremely fragrant, 20 lb. of the flower yielding about 1 dr. of otto. Genoa occasionally imports a little of this product, which is of excellent quality. In the south of France rose gardens occupy a large share of attention, about Grasse, Cannes, and Nice; they chiefly produce rose-water, much of which is exported to England. The essence (otto) obtained by the distillation of the Provence rose (R. provincialis) has a characteristic perfume, arising, it is believed, from the bees transporting the pollen of the orange flowers into the petals of the roses. The French otto is richer in stearoptene than the Turkish, nine grammes crystallizing in a liter (1¾ pint) of alcohol at the same temperature as 18 grammes of the Turkish. The best preparations are made at Cannes and Grasse. The flowers are not there treated for the otto, but are submitted to a process of maceration in fat or oil, ten kilos. of roses being required to impregnate one kilo. of fat. The price of the roses varies from 50c. to 1 fr. 25c. per kilo.
But the one commercially important source of otto of roses is a circumscribed patch of ancient Thrace or modern Bulgaria, stretching along the southern slopes of the central Balkans, and approximately included between the 25th and 26th degrees of east longitude, and the 42d and 43d of north latitude. The chief rose-growing districts are Philippopoli, Chirpan, Giopcu, Karadshah-Dagh, Kojun-Tepe, Eski-Sara, Jeni-Sara, Bazardshik, and the center and headquarters of the industry, Kazanlik (Kisanlik), situated in a beautiful undulating plain, in the valley of the Tunja. The productiveness of the last-mentioned district may be judged from the fact that, of the 123 Thracian localities carrying on the preparation of otto in 1877--they numbered 140 in 1859--42 belong to it. The only place affording otto on the northern side of the Balkans is Travina. The geological formation throughout is syenite, the decomposition of which has provided a soil so fertile as to need but little manuring. The vegetation, according to Baur, indicates a climate differing but slightly from that of the Black Forest, the average summer temperatures being stated at 82° Fahr. at noon, and 68° Fahr. in the evening. The rose-bushes nourish best and live longest on sandy, sun-exposed (south and south-east aspect) slopes. The flowers produced by those growing on inclined ground are dearer and more esteemed than any raised on level land, being 50 per cent. richer in oil, and that of a stronger quality. This proves the advantage of thorough drainage. On the other hand, plantations at high altitudes yield less oil, which is of a character that readily congeals, from an insufficiency of summer heat. The districts lying adjacent to and in the mountains are sometimes visited by hard frosts, which destroy or greatly reduce the crop. Floods also occasionally do considerable damage. The bushes are attacked at intervals and in patches by a blight similar to that which injures the vines of the country.
The bushes are planted in hedge-like rows in gardens and fields, at convenient distances apart, for the gathering of the crop. They are seldom manured. The planting takes place in spring and autumn; the flowers attain perfection in April and May, and the harvest lasts from May till the beginning of June. The expanded flowers are gathered before sunrise, often with the calyx attached; such as are not required for immediate distillation are spread out in cellars, but all are treated within the day on which they are plucked. Baur states that, if the buds develop slowly, by reason of cool damp weather, and are not much exposed to sun-heat, when about to be collected, a rich yield of otto, having a low solidifying point, is the result, whereas, should the sky be clear and the temperature high at or shortly before the time of gathering, the product is diminished and is more easily congealable. Hanbury, on the contrary, when distilling roses in London, noticed that when they had been collected on fine dry days the rose-water had most volatile oil floating upon it, and that, when gathered in cool rainy weather, little or no volatile oil separated.
The flowers are not salted, nor subjected to any other treatment, before being conveyed in baskets, on the heads of men and women and backs of animals, to the distilling apparatus. This consists of a tinned-copper still, erected on a semicircle of bricks, and heated by a wood fire; from the top passes a straight tin pipe, which obliquely traverses a tub kept constantly filled with cold water, by a spout, from some convenient rivulet, and constitutes the condenser. Several such stills are usually placed together, often beneath the shade of a large tree. The still is charged with 25 to 50 lb. of roses, not previously deprived of their calyces, and double the volume of spring water. The distillation is carried on for about l½ hours, the result being simply a very oily rose-water (ghyul suyu). The exhausted flowers are removed from the still, and the decoction is used for the next distillation, instead of fresh water. The first distillates from each apparatus are mixed and distilled by themselves, one-sixth being drawn off; the residue replaces spring water for subsequent operations. The distillate is received in long-necked bottles, holding about 1¼ gallon. It is kept in them for a day or two, at a temperature exceeding 59° Fahr., by which time most of the oil, fluid and bright, will have reached the surface. It is skimmed off by a small, long-handled, fine-orificed tin funnel, and is then ready for sale. The last-run rose-water is extremely fragrant, and is much prized locally for culinary and medicinal purposes. The quantity and quality of the otto are much influenced by the character of the water used in distilling. When hard spring water is employed, the otto is rich in stearoptene, but less transparent and fragrant. The average quantity of the product is estimated by Baur at 0.037 to 0.040 per cent.; another authority says that 3,200 kilos. of roses give 1 kilo. of oil.
Pure otto, carefully distilled, is at first colorless, but speedily becomes yellowish; its specific gravity is 0.87 at 72.5° Fahr.; its boiling-point is 444° Fahr.; it solidifies at 51.8° to 60.8° Fahr., or still higher; it is soluble in absolute alcohol, and in acetic acid. The most usual and reliable tests of the quality of an otto are (1) its odor, (2) its congealing point, (3) its crystallization. The odor can be judged only after long experience. A good oil should congeal well in five minutes at a temperature of 54.5° Fahr.; fraudulent additions lower the congealing point. The crystals of rose-stearoptene are light, feathery, shining plates, filling the whole liquid. Almost the only material used for artificially heightening the apparent proportion of stearoptene is said to be spermaceti, which is easily recognizable from its liability to settle down in a solid cake, and from its melting at 122° Fahr., whereas stearoptene fuses at 91.4° Fahr. Possibly paraffin wax would more easily escape detection.
The adulterations by means of other essential oils are much more difficult of discovery, and much more general; in fact, it is said that none of the Bulgarian otto is completely free from this kind of sophistication. The oils employed for the purpose are certain of the grass oils (Andropogon and Cymbopogon spp.) notably that afforded by Andropogon, Schoenanthus called idris-yaghi by the Turks, and commonly known to Europeans as "geranium oil," though quite distinct from true geranium oil. The addition is generally made by sprinkling it upon the rose-leaves before distilling. It is largely produced in the neighborhood of Delhi, and exported to Turkey by way of Arabia. It is sold by Arabs in Constantinople in large bladder-shaped tinned-copper vessels, holding about 120 lb. As it is usually itself adulterated with some fatty oil, it needs to undergo purification before use. This is effected in the following manner: The crude oil is repeatedly shaken up with water acidulated with lemon-juice, from which it is poured off after standing for a day. The washed oil is placed in shallow saucers, well exposed to sun and air, by which it gradually loses its objectionable odor. Spring and early summer are the best seasons for the operation, which occupies two to four weeks, according to the state of the weather and the quality of the oil. The general characters of this oil are so similar to those of otto of roses--even the odor bearing a distant resemblance--that their discrimination when mixed is a matter of practical impossibility. The ratio of the adulteration varies from a small figure up to 80 or 90 per cent. The only safeguard against deception is to pay a fair price, and to deal with firms of good repute, such as Messrs. Papasoglu, Manoglu & Son, Ihmsen & Co., and Holstein & Co. in Constantinople.
The otto is put up in squat-shaped flasks of tinned copper, called kunkumas, holding from 1 to 10 lb., and sewn up in white woolen cloths. Usually their contents are transferred at Constantinople into small gilded bottles of German manufacture for export. The Bulgarian otto harvest, during the five years 1867-71, was reckoned to average somewhat below 400,000 meticals, miskals, or midkals (of about 3 dwt. troy), or 4,226 lb. av.; that of 1873, which was good, was estimated at 500,000, value about £700,000. The harvest of 1880 realized more than £1,000,000, though the roses themselves were not so valuable as in 1876. About 300,000 meticals of otto, valued at £932,077, were exported in 1876 from Philippopolis, chiefly to France, Australia, America, and Germany.
--Jour. Soc. of Arts.
The author adds in small portions five parts metanitro-benzaldehyd to nine parts of phosphorus pentachloride, avoiding a great rise of temperature. When the reaction is over, the whole is poured into excess of cold water, quickly washed a few times with cold water, and dissolved in alcohol. After the first crystallization the compound melts at 65°, and is perfectly pure.
A catalogue, containing brief notices of many important scientific papers heretofore published in the SUPPLEMENT, may be had gratis at this office.
Terms of Subscription, $5 a Year.
Sent by mail, postage prepaid, to subscribers in any part of the United States or Canada. Six dollars a year, sent, prepaid, to any foreign country.
All the back numbers of THE SUPPLEMENT, from the commencement, January 1, 1876, can be had. Price, 10 cents each.
All the back volumes of THE SUPPLEMENT can likewise be supplied. Two volumes are issued yearly. Price of each volume, $2.50, stitched in paper, or $3.50, bound in stiff covers.
COMBINED RATES--One copy of SCIENTIFIC AMERICAN and one copy of SCIENTIFIC AMERICAN SUPPLEMENT, one year, postpaid, $7.00.
A liberal discount to booksellers, news agents, and canvassers.
MUNN & CO., Publishers,
37 Park Row, New York, N. Y.
In connection with the Scientific American, Messrs. MUNN & Co. are Solicitors of American and Foreign Patents, have had 35 years' experience, and now have the largest establishment in the world. Patents are obtained on the best terms.
A special notice is made in the Scientific American of all Inventions patented through this Agency, with the name and residence of the Patentee. By the immense circulation thus given, public attention is directed to the merits of the new patent, and sales or introduction often easily effected.
Any person who has made a new discovery or invention can ascertain, free of charge, whether a patent can probably be obtained, by writing to MUNN & Co.
We also send free our Hand Book about the Patent Laws, Patents, Caveats. Trade Marks, their costs, and how procured, with hints for procuring advances on inventions. Address
MUNN & CO., 37 Park Row, New York.
Branch Office, cor. F and 7th Sts., Washington, D. C.
End of Project Gutenberg's Scientific American Supplement No. 275, by Various
*** END OF THIS PROJECT GUTENBERG EBOOK SCIENTIFIC AMERICAN SUPPL., NO. 275 ***
***** This file should be named 8195-h.htm or 8195-h.zip *****
This and all associated files of various formats will be found in:
http://www.gutenberg.org/8/1/9/8195/
Produced by Olaf Voss, Don Kretz, Juliet Sutherland, Charles
Franks and the Online Distributed Proofreading Team.
Updated editions will replace the previous one--the old editions
will be renamed.
Creating the works from public domain print editions means that no
one owns a United States copyright in these works, so the Foundation
(and you!) can copy and distribute it in the United States without
permission and without paying copyright royalties. Special rules,
set forth in the General Terms of Use part of this license, apply to
copying and distributing Project Gutenberg-tm electronic works to
protect the PROJECT GUTENBERG-tm concept and trademark. Project
Gutenberg is a registered trademark, and may not be used if you
charge for the eBooks, unless you receive specific permission. If you
do not charge anything for copies of this eBook, complying with the
rules is very easy. You may use this eBook for nearly any purpose
such as creation of derivative works, reports, performances and
research. They may be modified and printed and given away--you may do
practically ANYTHING with public domain eBooks. Redistribution is
subject to the trademark license, especially commercial
redistribution.
*** START: FULL LICENSE ***
THE FULL PROJECT GUTENBERG LICENSE
PLEASE READ THIS BEFORE YOU DISTRIBUTE OR USE THIS WORK
To protect the Project Gutenberg-tm mission of promoting the free
distribution of electronic works, by using or distributing this work
(or any other work associated in any way with the phrase "Project
Gutenberg"), you agree to comply with all the terms of the Full Project
Gutenberg-tm License available with this file or online at
www.gutenberg.org/license.
Section 1. General Terms of Use and Redistributing Project Gutenberg-tm
electronic works
1.A. By reading or using any part of this Project Gutenberg-tm
electronic work, you indicate that you have read, understand, agree to
and accept all the terms of this license and intellectual property
(trademark/copyright) agreement. If you do not agree to abide by all
the terms of this agreement, you must cease using and return or destroy
all copies of Project Gutenberg-tm electronic works in your possession.
If you paid a fee for obtaining a copy of or access to a Project
Gutenberg-tm electronic work and you do not agree to be bound by the
terms of this agreement, you may obtain a refund from the person or
entity to whom you paid the fee as set forth in paragraph 1.E.8.
1.B. "Project Gutenberg" is a registered trademark. It may only be
used on or associated in any way with an electronic work by people who
agree to be bound by the terms of this agreement. There are a few
things that you can do with most Project Gutenberg-tm electronic works
even without complying with the full terms of this agreement. See
paragraph 1.C below. There are a lot of things you can do with Project
Gutenberg-tm electronic works if you follow the terms of this agreement
and help preserve free future access to Project Gutenberg-tm electronic
works. See paragraph 1.E below.
1.C. The Project Gutenberg Literary Archive Foundation ("the Foundation"
or PGLAF), owns a compilation copyright in the collection of Project
Gutenberg-tm electronic works. Nearly all the individual works in the
collection are in the public domain in the United States. If an
individual work is in the public domain in the United States and you are
located in the United States, we do not claim a right to prevent you from
copying, distributing, performing, displaying or creating derivative
works based on the work as long as all references to Project Gutenberg
are removed. Of course, we hope that you will support the Project
Gutenberg-tm mission of promoting free access to electronic works by
freely sharing Project Gutenberg-tm works in compliance with the terms of
this agreement for keeping the Project Gutenberg-tm name associated with
the work. You can easily comply with the terms of this agreement by
keeping this work in the same format with its attached full Project
Gutenberg-tm License when you share it without charge with others.
1.D. The copyright laws of the place where you are located also govern
what you can do with this work. Copyright laws in most countries are in
a constant state of change. If you are outside the United States, check
the laws of your country in addition to the terms of this agreement
before downloading, copying, displaying, performing, distributing or
creating derivative works based on this work or any other Project
Gutenberg-tm work. The Foundation makes no representations concerning
the copyright status of any work in any country outside the United
States.
1.E. Unless you have removed all references to Project Gutenberg:
1.E.1. The following sentence, with active links to, or other immediate
access to, the full Project Gutenberg-tm License must appear prominently
whenever any copy of a Project Gutenberg-tm work (any work on which the
phrase "Project Gutenberg" appears, or with which the phrase "Project
Gutenberg" is associated) is accessed, displayed, performed, viewed,
copied or distributed:
This eBook is for the use of anyone anywhere at no cost and with
almost no restrictions whatsoever. You may copy it, give it away or
re-use it under the terms of the Project Gutenberg License included
with this eBook or online at www.gutenberg.org
1.E.2. If an individual Project Gutenberg-tm electronic work is derived
from the public domain (does not contain a notice indicating that it is
posted with permission of the copyright holder), the work can be copied
and distributed to anyone in the United States without paying any fees
or charges. If you are redistributing or providing access to a work
with the phrase "Project Gutenberg" associated with or appearing on the
work, you must comply either with the requirements of paragraphs 1.E.1
through 1.E.7 or obtain permission for the use of the work and the
Project Gutenberg-tm trademark as set forth in paragraphs 1.E.8 or
1.E.9.
1.E.3. If an individual Project Gutenberg-tm electronic work is posted
with the permission of the copyright holder, your use and distribution
must comply with both paragraphs 1.E.1 through 1.E.7 and any additional
terms imposed by the copyright holder. Additional terms will be linked
to the Project Gutenberg-tm License for all works posted with the
permission of the copyright holder found at the beginning of this work.
1.E.4. Do not unlink or detach or remove the full Project Gutenberg-tm
License terms from this work, or any files containing a part of this
work or any other work associated with Project Gutenberg-tm.
1.E.5. Do not copy, display, perform, distribute or redistribute this
electronic work, or any part of this electronic work, without
prominently displaying the sentence set forth in paragraph 1.E.1 with
active links or immediate access to the full terms of the Project
Gutenberg-tm License.
1.E.6. You may convert to and distribute this work in any binary,
compressed, marked up, nonproprietary or proprietary form, including any
word processing or hypertext form. However, if you provide access to or
distribute copies of a Project Gutenberg-tm work in a format other than
"Plain Vanilla ASCII" or other format used in the official version
posted on the official Project Gutenberg-tm web site (www.gutenberg.org),
you must, at no additional cost, fee or expense to the user, provide a
copy, a means of exporting a copy, or a means of obtaining a copy upon
request, of the work in its original "Plain Vanilla ASCII" or other
form. Any alternate format must include the full Project Gutenberg-tm
License as specified in paragraph 1.E.1.
1.E.7. Do not charge a fee for access to, viewing, displaying,
performing, copying or distributing any Project Gutenberg-tm works
unless you comply with paragraph 1.E.8 or 1.E.9.
1.E.8. You may charge a reasonable fee for copies of or providing
access to or distributing Project Gutenberg-tm electronic works provided
that
- You pay a royalty fee of 20% of the gross profits you derive from
the use of Project Gutenberg-tm works calculated using the method
you already use to calculate your applicable taxes. The fee is
owed to the owner of the Project Gutenberg-tm trademark, but he
has agreed to donate royalties under this paragraph to the
Project Gutenberg Literary Archive Foundation. Royalty payments
must be paid within 60 days following each date on which you
prepare (or are legally required to prepare) your periodic tax
returns. Royalty payments should be clearly marked as such and
sent to the Project Gutenberg Literary Archive Foundation at the
address specified in Section 4, "Information about donations to
the Project Gutenberg Literary Archive Foundation."
- You provide a full refund of any money paid by a user who notifies
you in writing (or by e-mail) within 30 days of receipt that s/he
does not agree to the terms of the full Project Gutenberg-tm
License. You must require such a user to return or
destroy all copies of the works possessed in a physical medium
and discontinue all use of and all access to other copies of
Project Gutenberg-tm works.
- You provide, in accordance with paragraph 1.F.3, a full refund of any
money paid for a work or a replacement copy, if a defect in the
electronic work is discovered and reported to you within 90 days
of receipt of the work.
- You comply with all other terms of this agreement for free
distribution of Project Gutenberg-tm works.
1.E.9. If you wish to charge a fee or distribute a Project Gutenberg-tm
electronic work or group of works on different terms than are set
forth in this agreement, you must obtain permission in writing from
both the Project Gutenberg Literary Archive Foundation and Michael
Hart, the owner of the Project Gutenberg-tm trademark. Contact the
Foundation as set forth in Section 3 below.
1.F.
1.F.1. Project Gutenberg volunteers and employees expend considerable
effort to identify, do copyright research on, transcribe and proofread
public domain works in creating the Project Gutenberg-tm
collection. Despite these efforts, Project Gutenberg-tm electronic
works, and the medium on which they may be stored, may contain
"Defects," such as, but not limited to, incomplete, inaccurate or
corrupt data, transcription errors, a copyright or other intellectual
property infringement, a defective or damaged disk or other medium, a
computer virus, or computer codes that damage or cannot be read by
your equipment.
1.F.2. LIMITED WARRANTY, DISCLAIMER OF DAMAGES - Except for the "Right
of Replacement or Refund" described in paragraph 1.F.3, the Project
Gutenberg Literary Archive Foundation, the owner of the Project
Gutenberg-tm trademark, and any other party distributing a Project
Gutenberg-tm electronic work under this agreement, disclaim all
liability to you for damages, costs and expenses, including legal
fees. YOU AGREE THAT YOU HAVE NO REMEDIES FOR NEGLIGENCE, STRICT
LIABILITY, BREACH OF WARRANTY OR BREACH OF CONTRACT EXCEPT THOSE
PROVIDED IN PARAGRAPH 1.F.3. YOU AGREE THAT THE FOUNDATION, THE
TRADEMARK OWNER, AND ANY DISTRIBUTOR UNDER THIS AGREEMENT WILL NOT BE
LIABLE TO YOU FOR ACTUAL, DIRECT, INDIRECT, CONSEQUENTIAL, PUNITIVE OR
INCIDENTAL DAMAGES EVEN IF YOU GIVE NOTICE OF THE POSSIBILITY OF SUCH
DAMAGE.
1.F.3. LIMITED RIGHT OF REPLACEMENT OR REFUND - If you discover a
defect in this electronic work within 90 days of receiving it, you can
receive a refund of the money (if any) you paid for it by sending a
written explanation to the person you received the work from. If you
received the work on a physical medium, you must return the medium with
your written explanation. The person or entity that provided you with
the defective work may elect to provide a replacement copy in lieu of a
refund. If you received the work electronically, the person or entity
providing it to you may choose to give you a second opportunity to
receive the work electronically in lieu of a refund. If the second copy
is also defective, you may demand a refund in writing without further
opportunities to fix the problem.
1.F.4. Except for the limited right of replacement or refund set forth
in paragraph 1.F.3, this work is provided to you 'AS-IS', WITH NO OTHER
WARRANTIES OF ANY KIND, EXPRESS OR IMPLIED, INCLUDING BUT NOT LIMITED TO
WARRANTIES OF MERCHANTABILITY OR FITNESS FOR ANY PURPOSE.
1.F.5. Some states do not allow disclaimers of certain implied
warranties or the exclusion or limitation of certain types of damages.
If any disclaimer or limitation set forth in this agreement violates the
law of the state applicable to this agreement, the agreement shall be
interpreted to make the maximum disclaimer or limitation permitted by
the applicable state law. The invalidity or unenforceability of any
provision of this agreement shall not void the remaining provisions.
1.F.6. INDEMNITY - You agree to indemnify and hold the Foundation, the
trademark owner, any agent or employee of the Foundation, anyone
providing copies of Project Gutenberg-tm electronic works in accordance
with this agreement, and any volunteers associated with the production,
promotion and distribution of Project Gutenberg-tm electronic works,
harmless from all liability, costs and expenses, including legal fees,
that arise directly or indirectly from any of the following which you do
or cause to occur: (a) distribution of this or any Project Gutenberg-tm
work, (b) alteration, modification, or additions or deletions to any
Project Gutenberg-tm work, and (c) any Defect you cause.
Section 2. Information about the Mission of Project Gutenberg-tm
Project Gutenberg-tm is synonymous with the free distribution of
electronic works in formats readable by the widest variety of computers
including obsolete, old, middle-aged and new computers. It exists
because of the efforts of hundreds of volunteers and donations from
people in all walks of life.
Volunteers and financial support to provide volunteers with the
assistance they need are critical to reaching Project Gutenberg-tm's
goals and ensuring that the Project Gutenberg-tm collection will
remain freely available for generations to come. In 2001, the Project
Gutenberg Literary Archive Foundation was created to provide a secure
and permanent future for Project Gutenberg-tm and future generations.
To learn more about the Project Gutenberg Literary Archive Foundation
and how your efforts and donations can help, see Sections 3 and 4
and the Foundation information page at www.gutenberg.org
Section 3. Information about the Project Gutenberg Literary Archive
Foundation
The Project Gutenberg Literary Archive Foundation is a non profit
501(c)(3) educational corporation organized under the laws of the
state of Mississippi and granted tax exempt status by the Internal
Revenue Service. The Foundation's EIN or federal tax identification
number is 64-6221541. Contributions to the Project Gutenberg
Literary Archive Foundation are tax deductible to the full extent
permitted by U.S. federal laws and your state's laws.
The Foundation's principal office is located at 4557 Melan Dr. S.
Fairbanks, AK, 99712., but its volunteers and employees are scattered
throughout numerous locations. Its business office is located at 809
North 1500 West, Salt Lake City, UT 84116, (801) 596-1887. Email
contact links and up to date contact information can be found at the
Foundation's web site and official page at www.gutenberg.org/contact
For additional contact information:
Dr. Gregory B. Newby
Chief Executive and Director
gbnewby@pglaf.org
Section 4. Information about Donations to the Project Gutenberg
Literary Archive Foundation
Project Gutenberg-tm depends upon and cannot survive without wide
spread public support and donations to carry out its mission of
increasing the number of public domain and licensed works that can be
freely distributed in machine readable form accessible by the widest
array of equipment including outdated equipment. Many small donations
($1 to $5,000) are particularly important to maintaining tax exempt
status with the IRS.
The Foundation is committed to complying with the laws regulating
charities and charitable donations in all 50 states of the United
States. Compliance requirements are not uniform and it takes a
considerable effort, much paperwork and many fees to meet and keep up
with these requirements. We do not solicit donations in locations
where we have not received written confirmation of compliance. To
SEND DONATIONS or determine the status of compliance for any
particular state visit www.gutenberg.org/donate
While we cannot and do not solicit contributions from states where we
have not met the solicitation requirements, we know of no prohibition
against accepting unsolicited donations from donors in such states who
approach us with offers to donate.
International donations are gratefully accepted, but we cannot make
any statements concerning tax treatment of donations received from
outside the United States. U.S. laws alone swamp our small staff.
Please check the Project Gutenberg Web pages for current donation
methods and addresses. Donations are accepted in a number of other
ways including checks, online payments and credit card donations.
To donate, please visit: www.gutenberg.org/donate
Section 5. General Information About Project Gutenberg-tm electronic
works.
Professor Michael S. Hart was the originator of the Project Gutenberg-tm
concept of a library of electronic works that could be freely shared
with anyone. For forty years, he produced and distributed Project
Gutenberg-tm eBooks with only a loose network of volunteer support.
Project Gutenberg-tm eBooks are often created from several printed
editions, all of which are confirmed as Public Domain in the U.S.
unless a copyright notice is included. Thus, we do not necessarily
keep eBooks in compliance with any particular paper edition.
Most people start at our Web site which has the main PG search facility:
www.gutenberg.org
This Web site includes information about Project Gutenberg-tm,
including how to make donations to the Project Gutenberg Literary
Archive Foundation, how to help produce our new eBooks, and how to
subscribe to our email newsletter to hear about new eBooks.